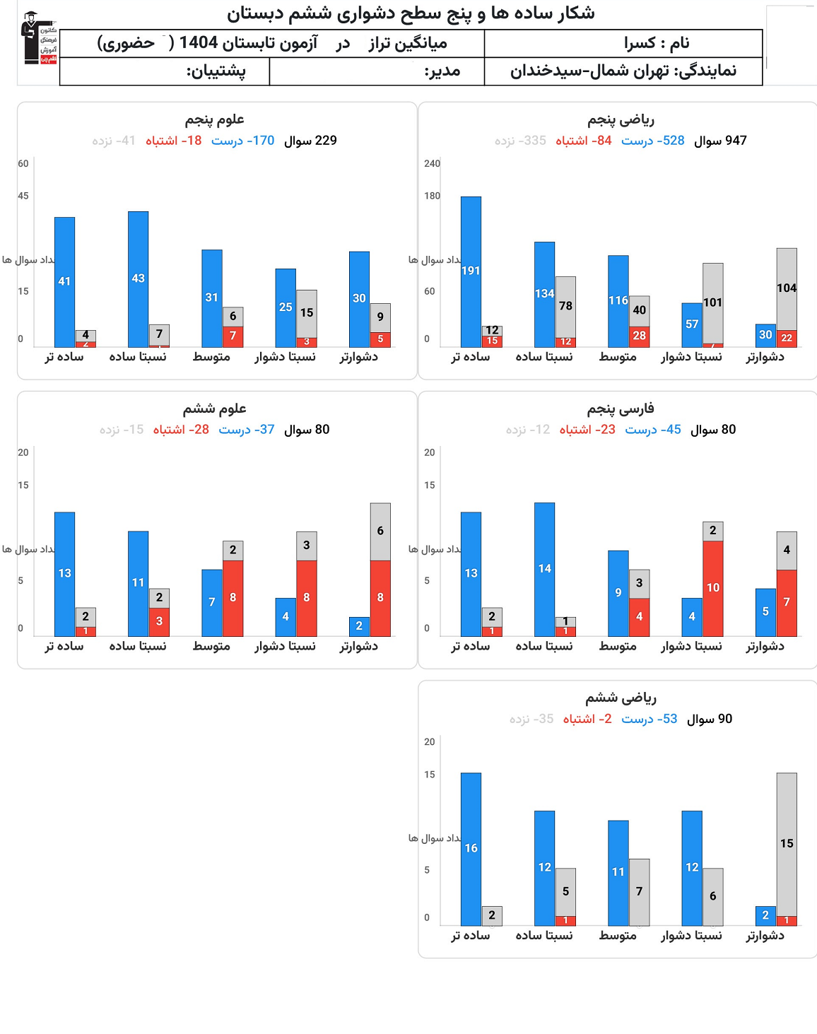
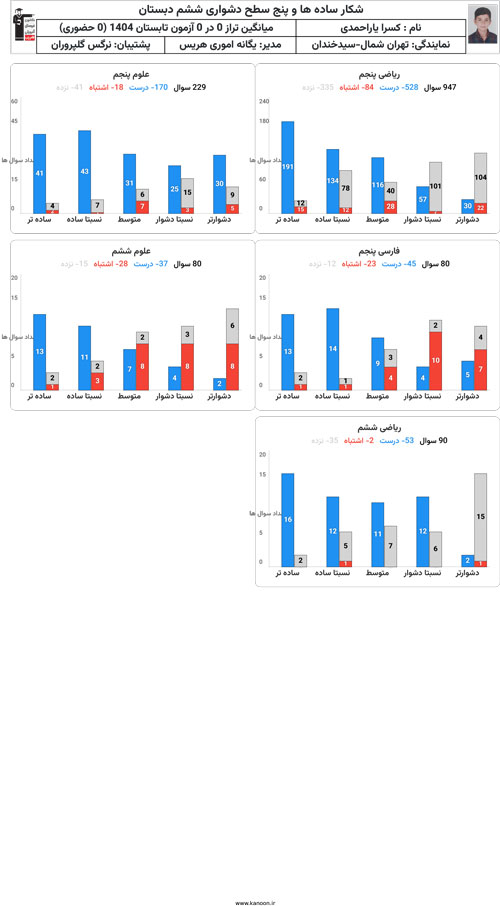
بخش جدید کارنامه شکار ساده ها و پنج سطح دشواری در اپلیکیشن کانونیها فعال شد.
در این بخش میتوانید عملکرد تابستان خود را بهصورت دقیق و تحلیلی مشاهده کنید.
برای دریافت نسخه اندروید و وب کانونی ها از لینک های زیر استفاده نمایید
نسخه اندروید
در کارنامه شکار، مجموع پاسخهای شما در تمام آزمونهای تابستان بر اساس درجه سختی سؤالات در پنج سطح (ساده تر ، نسبتا ساده ، متوسط ، نسبتا دشوار ، دشوارتر )دستهبندی شده است.
در نمودار کلی، مشخص میشود در هر سطح از سختی، چند سؤال را درست، غلط یا نزده پاسخ دادهاید.همین الگو برای پنج درس اصلی شما نیز بهصورت جداگانه نمایش داده میشود.
با بررسی این نمودارها میتوانید وضعیت خود را در هر سطح از دشواری سؤالات شناسایی کرده و مسیر پیشرفت خود را دقیقتر تنظیم کنید.


