اپلیکیشن کانونی ها مخصوص دانش آموزان کانونی منتشر شد.
توجه :
برای استفاده از نسخه جدید اپلیکیشن کانونی ها حتما اپلیکیشن خود را به روز رسانی نمایید.
برای نصب اپلیکیشن از طریق لینک زیر اقدام نمایید :
همچنین می توانید از طریق شماره گیری کد ussd زیر با موبایل خود لینک نصب اپ را دریافت کنید:
3#*8451*6655*
برای ورود به اپلیکیشن دانش آموز کدملی خود را وارد می کند و دکمه ورود را می زند.سپس رمز عبور خود که همان رمز صفحه شخصی سایت کانون است را باید وارد کند تا بتواند در اپلیکیشن لاگین کند.
بخش های مختلف اپلیکیشن :
- * کارنامه زودهنگام ( 2 ساعت قبل از کارنامه اصلی)
- * کارنامه آزمون
- * کارنامه شکار سادهها و پنج سطح دشواری
- * کارنامه پروژه ای
- * کارنامه 5 نوع درس
- * روزشمار آزمون بعدی
- * مشاهده پیام های نمایندگی و پشتیبان
- * مشاهده جدیدترین اخبار و مطالب روز کانون
- * دریافت لینک مقالات کاظم قلم چی در روز آزمون
- * پادکست های آموزشی

- کارنامه زودهنگام
این کارنامه برای هر درس ، درصد ، چند از 10 ، وضعیت دروس و سوالات ساده را نشان می دهد.
الف) از ساعت ۱۲ روز جمعه ی آزمون به تدریج چند از ۱۰ و درصد دروس در اپ قرار می گیرد.
ب) از ساعت ۱۳:۳۰ روز جمعه ی آزمون تراز و رتبه کشوری در اپ قرار می گیرد.
پ) از ساعت ۱۳:۳۰ بعدازظهر دروس دانش آموزان به ۳ گروه ( بهتر از هم تراز های خود / تلنگری/ نیاز به تلاش خیلی بیشتر دارید) تقسیم می شود. این اطلاعات از ساعت ۱۳:۳۰ در اپ قرارمی گیرد.
جدول نظم هم در کارنامه زودهنگام قابل مشاهده است.
در این جدول همهی سوالهای آزمون را به ترتیب سطح دشواری مرتب کردهایم.
ردیف اول مربوط به ساده ترین سوالهاست. شما میبینید که از سادهترین سوالها چند تا را درست جواب دادهاید و چند تا را اشتباه جواب دادهاید و چند تا را سفید گذاشتهاید.
ردیف آخر مربوط به سختترین سوالهاست. در اینجا هم معلوم میشود از سوالهای خیلی سخت چند تا را درست جواب دادهاید یا اشتباه یا اصلا جواب ندادهاید.
نمونه ای از جدول نظم را در عکس زیر مشاهده می نمایید:

- کارنامه آزمون
در این بخش لیست آزمون هایی که دانش آموز شرکت کرده است به همراه تراز و رتبه نشان داده می شود .
برای دانلود کارنامه به صورت pdf روی "دریافت کارنامه " کلیک شود ، کارنامه دانلود می شود.
- کارنامه پروژه ای
کارنامه ی پروژه ای در پایان هر پروژه مشخص می کند که نمره ی تراز شما نسبت به آغاز آن پروژه و در مقایسه با پروژه های قبلی چقدر تغییر کرده است.
این کارنامه را از بخش کارنامه های اپ می توان دانلود کرد.

- کارنامه 5 نوع درس
کارنامهی پنجنوعدرس کارنامهای کاربردی برای شناخت کامل وضعیت هر درس است. در این کارنامه شما وضعیت خودتان را به صورت رنگهای مختلف و در 5 دستهبندی میبینید و میتوانید برای بهبود این درسها بهتر برنامهریزی کنید.
این کارنامه را از بخش کارنامه های اپ می توان دانلود کرد.

- روز شمار آزمون
زمان آزمون بعدی و اینککه چند روز تا آزمون زمان باقی مانده است نشان داده می شود.
- مشاهده پیام های نمایندگی و پشتیبان
در قسمت صندوق پیام اپ ، پیام هایی که پشتیبان یا مسئول نمایندگی برای دانش آموز ارسال می کند مشاهده می شود
پادکست های آموزشی
در این بخش پادکست های مختلف با موضوعات مختلف که مورد استفاده دانش آموزان می باشد فعال شده است و می توانید با کلیک روی پادکست موردنظر خود ؛ آن را بشنوید
دسته بندی ها شامل :
مقالات آقای قلم چی
مصاحبه های آقای قلم چی با رتبه های برتر
معرفی رشته های دانشگاهی
مشاوره
مصاحبه های سایت
20 نکته مهم درباره انتخاب رشته
بورسیه
دبستان
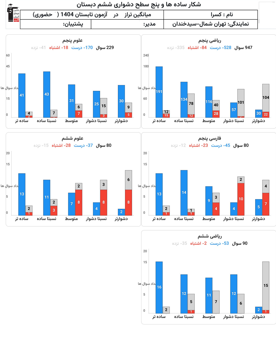
کارنامه شکار سادهها و پنج سطح دشواری
بخش جدید کارنامه شکار ساده ها و پنج سطح دشواری در اپلیکیشن کانونیها فعال شد.
در این بخش میتوانید عملکرد تابستان خود را بهصورت دقیق و تحلیلی مشاهده کنید.
در کارنامه شکار، مجموع پاسخهای شما در تمام آزمونهای تابستان بر اساس درجه سختی سؤالات در پنج سطح (ساده تر ، نسبتا ساده ، متوسط ، نسبتا دشوار ، دشوارتر )دستهبندی شده است.
در نمودار کلی، مشخص میشود در هر سطح از سختی، چند سؤال را درست، غلط یا نزده پاسخ دادهاید.همین الگو برای پنج درس اصلی شما نیز بهصورت جداگانه نمایش داده میشود.
با بررسی این نمودارها میتوانید وضعیت خود را در هر سطح از دشواری سؤالات شناسایی کرده و مسیر پیشرفت خود را دقیقتر تنظیم کنید.

رویداد
امکان شرکت در کلاس های و جلسات کانون بدون وارد کردن نام کاربری و رمزعبور
