امسال در زمان انتخاب رشته، دانش آموزان و اولیاء به روشنی با تاثیر 60 درصدی سوابق تحصیلی در کنکور و نقش ویژه و تعیین کننده آن در ورود به دانشگاه ها و آینده تحصیلی و شغلی دانش آموزان آشنا شدند.
امتحانات تشریحی بخش عمده ای از ارزیابی آموزشی دانش آموزان را در مدارس و نظام ارزشیابی آموزشی در کشور به خود اختصاص میدهد. این امتحانات وقتی به صورت نهایی و هماهنگ کشوری برگزار میگردد، از استانداردهای خاصی در طراحی سوال، بارم بندی مباحث، نحوه برگزاری و از همه مهم تر نحوه تصحیح و نمره دهی برخوردار هستند که عدم آشنایی دانش آموزان با این استانداردها باعث کاهش چشمگیر نمرات در امتحانات نهایی نسبت به امتحانات مدرسه میشود.
حضور در آزمون های تشریحی (شبیه سازی امتحانات نهایی) کانون باعث آشنایی دانش آموزان با تمامی موارد بیان شده، میگردد، ضمناً ایشان را با مشکلات آموزشی، پیش از امتحانات آشنا نموده و به برطرف کردن این مشکلات و بهبود نمرات در امتحانات مدرسه و امتحانات نهایی کمک شایانی مینماید و نهایتاً موجب کسب نتایج بهتر در کنکور، آزمون های ورودی مدارس تیزهوشان و نمونه دولتی و امتحانات عادی مدارس می شود.
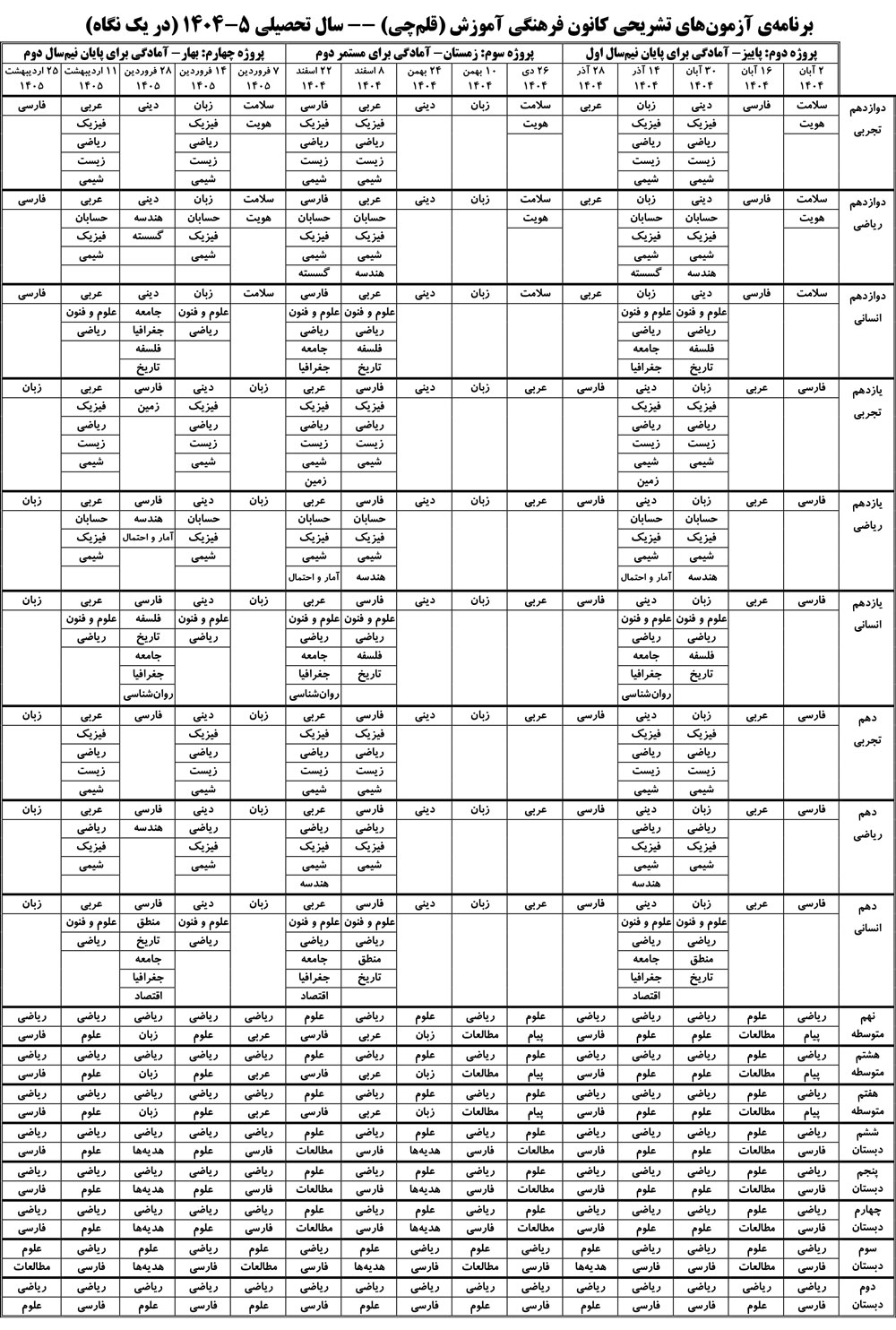
آزمون های تشریحی کانون از دوم دبستان تا دوازدهم و در سه پروژه پاییز، زمستان و بهار برگزار میگردد.
بسته جهش: یکی از ابتکارات امسال کانون بسته جهش میباشد و دانش آموزان با تهیه این بسته ضمن برخورداری از تخفیفی بسیار مناسب، میتوانند از فیلم های آموزشی پیشرفتکارت که توسط مجرب ترین دبیران در تمام دروس آماده شده است استفاده کنند. همچنین این بسته شامل نرم افزار پلکان یادگیری که دارای تمرینات بسیار متنوع با سطوح دشواری انتخابی توسط دانش آموزان، در تمام دروس می باشد.از دیگر مزایای بسته جهش، ثبت نام در پروژه پاییز آزمون های تشریحی است.
جهت ثبت نام در آزمون های تشریحی و تهیه بسته جهش به نمایندگی کانون در شهر خود مراجعه کنید.
(( جهت مشاهده و دانلود برنامه تفصیلی آزمون های تشریحی به بخش برنامه راهبردی قسمت مربوط به آزمون های تشریحی در سایت مراجعه کنید.))


