سلام به همه نهمی های عزیز 🖐🖐
در این مطلب به فصل پنجم کتاب ریاضی نهم میپردازیم.

🔴ویژگیهای مطلب🔴
درسنامه کامل و نکات
مثال های فراوان
پاسخ کلیدی و تشریحی در فایل ضمیمه
عبارت جبری : عبارتی است که از اعداد و متغیر(حروف انگلیسی)تشکیل شده است.
یک جمله ای : عبارت جبری که از دو قسمت تشکیل شده است(متغیر و عدد)و بین آن ها علامتی نباشد.
نکته : هر عدد حقیقی به تنهایی یک جمله ای است، چون متغیر آن صفراست.
نکته : اگر در عبارتی حروف زیر رادیکال یا حروف در مخرج یا حروف توان منفی داشته باشند، آن عبارت یک جمله ای نیست.
درجه یک جمله ای : توان متغیر را درجه آن یک جمله ای می گویند.

یک جمله ای متشابه : یک جمله ای که متغیر و توان هر متغیر کامل مثل هم باشند.
جمع و تفریق یک جمله ای های متشابه : ضرایب یک جمله ای را با هم جمع و تفریق می کنیم و متغیرها را کنار آنها می نویسیم.
ضرب و تقسیم یک جمله ای : در ضرب ضرایب در هم و متغیرها در هم ضرب می شود و در تقسیم ضرایب بر هم و متغیرها بر هم تقسیم می شوند.

درجه چند جمله ای : بزرگترین درجه نسبت به آن متغیر را در نظر می گیریم.
مثال : چند جمله ای زیر را نسبت به توان های نزولی 𝒂(از بزرگ به کوچک) مرتب کنید.

اتحاد جبری : اگر دو عبارت جبری به گونه ای باشند که با ازای تمام مقادیر دلخواه برای متغیرها مقدار یکسانی داشته باشد به تساوی جبری آن ها اتحاد می گویند
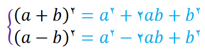
اتحاد مربع دو جمله ای :


اتحاد مزدوج :


اتحاد جمله مشترک :

مثال: حاصل عبارت جبری زیر را به دست آورید؟

تجزیه عبارت جبری : نوشتن یک عبارت جبری به صورت حاصل ضرب چند عبارت دیگر را تجزیه می گویند.
روش های تجزیه :
الف) با استفاده از اتحادها
ب) فاکتور گیری
تجزیه به کمک اتحاد مربع :
1) تعداد جملات3جمله باشد
2) جمله اول و جمله سوم جذر دقیق داشته باشند
تجزیه به کمک اتحاد جمله مشترک :
1)تعداد جملات3جمله باشد
2) جمله اول و جمله سوم جذر دقیق نداشته باشند
3) ضریب𝒙حاصل جمع و عدد آخر حاصل ضرب دو عدد را نشان می دهد
تجزیه به کمک اتحاد مزدوج :
1) تعداد جملات2جمله باشد
2) جملات اول و دوم جذر دقیق داشته باشند
3) بین جملات علامت منفی باشد
فاکتور گیری :
برای فاکتور گیری مراحل زیر را انجام می دهیم :
1) (ب.م.م) ضرایب را تعیین می کنیم
2) حروف مشترک با توان کمتر را انتخاب می کنیم
3) (ب.م.م) و حروف مشترک را به عنوان فاکتور می گیریم
4) تمام جملات را بر عامل فاکتور تقسیم کرده و جواب را داخل پرانتز مینویسیم
نامعادله : جواب های نامعادله مقادیری از متغیر هستند که به ازای آن ها نامساوی برقرار است.همه ی جواب های نامعادله مجموعه جواب آن گفته می شود.
حل نامعادله : همانند یک معادله حل می شود با این تفاوت که اگر در اخر نامعادله ضریب مجهول عدد منفی باشد جهت نامعادله عوض می شود.
مثال : مجموعه جواب نامعادله زیر را به دست آورده و آن ها را روی محور اعداد نمایش دهید.

پاسخ تشریحی:

و حالا وقت تسته!!!



برای ارتباط با پشتیبان ویژه و اطلاع از شرایط مشاوره با رتبه هاي برتركانوني
به لينك زير مراجعه كنيد.
