سلام ویژه به همه کنکوریهای عزیز 🖐🖐
در این سری از مطالب به جمع بندی فیزیک برای آزمون 7 فروردین می پردازیم.

🔴ویژگیهای مطلب🔴
درسنامه و نکات
5 تست شناسنامهدار
پاسخ تشریحی در فایل ضمیمه
🔴شار مغناطیسی🔴
تعداد خطوط میدان مغناطیسی گذرنده از یک سطح بسته راشار مغناطیسی گذرنده از اون سطح می نامیم . شار مغناطیسی با علامتφ (فی)نشان داده می شود.
𝜑 = 𝐵𝐴 cos 𝜃

طبق قانون فارادی نیرو محرکه القایی با استفاده از رابطه زیر بدست می آید :

که خب این نیرو ی محرکه القایی باعث بوجود آمدن یک جریان القایی میشه که از روابط زیر قابل محاسبه هستند:

🔴قانون لنز🔴
جهت جریان القایی به گونه ای است که شاری که ایجاد می کند با تغییرات شار مغناطیسی خارجی گذرنده از مدار مخالفت کند.
یعنی :
1-اگر شار مغناطیسی خارجی که از حلقه می گذرد در حال زیاد شدن باشد ، جریان القایی ،شاری ایجاد می کند که باشار اصلی مخالفت کندو مانع زیاد شدن آن شود .
2-اگرشار مغناطیسی خارجی که از حلقه می گذرد در حال کم شدن باشد ،جریان القایی ، شاری ایجاد می کند که با شار اصلی هم جهت باشد ومانع کم شدن آن شود.
🔴 میله ی رسانای متحرک در میدان مغناطیسی🔴
اگر مطابق شکل، سیم راستی به طول 𝑙را با سرعت𝑉 در میدان مغناطیسی 𝐵به حرکت درآوریم ،در این صورت نیروی محرکه القایی دو سر سیم از رابطه ی زیر محاسبه می شود.


🔴پدیده خودالقایی یا خودالقاوری🔴
درشکل روبه رو با حرکت لغزنده رئوستا ،جریان سیملوله سمت چپ تغییر میکند، با تغییر جریان در سیملوله سمت چپ،میدان مغناطیسی درون سیملوله تغییر کرده و به تبع آن شار مغناطیسی گذرنده از سیملوله سمت راست تغییر میکند. طبق قانون فارادی یک نیرو محرکه القایی در سیملوله سمت راست ایجاد می شود.

🔴ضریب خود القاوری🔴
همانطوری که ویژگی های ظاهری و فیزیکی یک خازن را با ظرفیت نشان دادیم،ویژگی های ظاهری و فیزیکی القاگر (سیملوله یا پیچه)را هم باضریب خودالقاوری نشان می دهیم.
ضریب خودالقاوری هم مثل ظرفیت خازن، فقط به ویژگی های ظاهری القاگر بستگی دارد.
همچنین انرژی ذخیره شده در میدان مغناطیسی یک القاگر از رابطه زیر قابل محاسبه است:

🔴جریان متناوب🔴
یکی از ویژگی های مهم القای الکترومغناطیسی تولید جریان متناوب است .میدانیم که شار عبوری از یک پیچه در حالت عادی𝜑 = 𝐴𝐵𝑐𝑜𝑠 𝜃 است ،و
همچنین میدانیم که یکی از ساده ترین راه های تغییر شار مغناطیسی ؛ تغییر 𝜃است.


🔴مبدل ولتاژ🔴
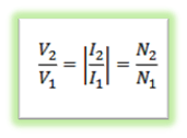
همانطور که میدانیم در انتقال توان الکتریکی از توان الکتریکی 𝐴𝐶استفاده می شود، یکی از دلایل مهم این موضوع این است که افزایش و کاهش ولتاژ 𝐴𝐶بسیار ساده تر از ولتاژ 𝐷𝐶است. این تغییر ولتاژها توسط مبدل انجام می شود. شکل مقابل یک مبدل شامل دو پیچه با تعداد دورهای متفاوت را نشان می دهدکه دور یک هسته آهنی پیچیده شده است.
رابطه ی ولتاژهای ورودی و خروجی به ترتیب زیراست:


و حالا وقت تسته:))






برای ارتباط بیشتر با
علی اشرفپور و رزرو پشتیبان ویژه
پیج اینستاگرام و کانال تلگرام کانون برترها را دنبال کنید،
همچنین میتونید با شماره ۰۲۱۸۴۵۱ داخلی ۳۱۲۳ تماس بگیرید.
پیج اینستاگرام | کانال تلگرام کانون برترها |


