دانش آموزان عزیز سلام
من الهه پروری فارغ التحصیل مهندسی شیمی از دانشگاه تهران هستم. | ![]() |
فصل اول - عددهای صحیح وگویا
جمع و تفریق اعداد گویا
سوال: برای هر حرکت روی محور، عددی متناظر بنویسید.


📌 پاسخ ها در فایل ضمیمه موجود است.
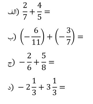
سوال: در ابتدا مخرج مشترک بگیرید، سپس، جمع و تفریقها را انجام دهید.
📌 پاسخ ها در فایل ضمیمه موجود است.
ضرب و تقسیم اعداد گویا
نکته: در ضرب و تقسیم اعداد گویا باید در ابتدا علامت جواب را مشخص کرد:
1 . ضرب (تقسیم) عدد مثبت در عدد مثبت: علامت مثبت است.
2 . ضرب (تقسیم) عدد منفی در عدد منفی: علامت مثبت است.
3 . ضرب (تقسیم) عدد مثبت در عدد منفی: علامت منفی است.
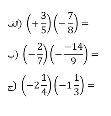
سوال: حاصل عبارت های زیر را حساب کنید.
📌 پاسخ ها در فایل ضمیمه موجود است.
ادامه جزوه که شامل درسنامه و نکات این بخش و همچنین 15 سوال تکمیلی با پاسخ کاملا تشریحی آن هاست در فایل ضمیمه موجود است.
-------------------------------------
تست ها
تست 1: بین دو عدد سه پنجم و چهار پنجم چند عدد گویا وجود دارد؟
- 105 2) 100 3) 108 4) بی شمار
تست 2: حاصل عبارت عددی =(10.5–3)× 0.8 برابر با کدامیک است؟
- 6 2) 6- 3) 8.1 4) 60-
تست 3: حاصل عبارت: 3×5-3 کدام گزینه است؟
- 18 2) 18- 3) 12- 4) صفر
تست 4: حاصل را بیایید.
p−(−(+(−(+(−(−4−5))))))
- 9- 2) 9 3) 1- 4) 1
تست 5: حاصل عبارت p3-7+11-15…+195-199 برابر است با:
- 100 2) 100- 3) 5050 4) 5050-
-------------------------------------
📌 پاسخ تست ها در فایل ضمیمه موجود است.
🔵عضویت در کانال تلگرامی کانون برترها🔵

