سلام دوستای دوازدهم ریاضی عزیز ، و همه دوستای دیگه 😁✋🏻
🔹 من علی محمدزاده شبستری هستم. دانشجوی مهندسی کامپیوتر دانشگاه شریف (رتبه 13 م1 کنکور 1401)
🌷در این مطلب میخوایم یک درسنامه و نکات از ماتریس داشته باشیم. یعنی از ابتدای فصل، تا قبل از مبحث وارون و دترمینان.
راستی درسنامههای گسسته فصل 1 رو در لینکهای زیر میتونید مطالعه کنید:
فصل نظریه اعداد از ابتدا ، تا قبل همنهشتی
همنهشتی و ویژگیها + باقیمانده اعداد تواندار
معادله همنهشتی + معادله سیاله
اما ما فقط بخشی از جزوه را در این مطلب گذاشتیم.
فایل کامل جزوه را از ضمیمه دانلود کنید |
![]() شاید اسم ماتریس و دترمینان و ... برای شما کمابیش آشنا باشه. ماتریسها کاربرد بسیار زیادی در فیزیک کوانتوم، مهندسی کامپیوتر، حل معادلات و خیلی رشتههای دیگه دارن. اما ببینیم اصلا ماتریس چیه ؟! به طور کلی یک آرایش مرتب از تعداد داده(عدد) را میگیم یک ماتریس. اما باید یک نظم خاص داشته باشن! چیزی که شبیه یه جدوله! اگر ما یک جدول نامرئی دارای m ردیف و n ستون داشته باشیم، آنگاه mn عدد حقیقی داخل این جدول میتونن آرایش داشته باشند. به این جدول میگیم یک ماتریس از مرتبه m×n . خوب دقت کنید که مرتبه ماتریس چطور نوشته میشه! عدد سمت چپ یعنی تعداد ردیفها ؛ و عدد سمت راست یعنی تعداد ستونها. در اسلاید بعد یک ماتریس ببینیم.
■در شکل بالا یک ماتریس رو مشاهده میکنید. به هرکدوم از این عناصر میگیم درایه.
![]() ادامه مطلب انواع ماتریسها را از فایل ضمیمه دانلود کنید. |
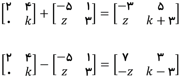
![]() برابری دو ماتریس احتمالا خیلی واضح هست که دو ماتریس زمانی برابر هستند که درایههاشون نظیر به نظیر برابر هم باشند. لفظ «نظیر به نظیر» نشون دهنده اهمیت جایگاه درایههاست. البته که مشخصاً باید هممرتبه هم باشند. جمع ماتریسها مجموع دو ماتریس A و B ، ماتریسیه که درایههاش از جمع کردن نظیر به نظیر درایههای A و B بدست میاد. از اینجا معلوم میشه که شرط مهم برای جمع شدن دوتا ماتریس اینه که هممرتبه باشند! تفریق هم درست مثل جمعه! ![]() |
برای مطالب ضرب ماتریسها و توانهای صحیح ماتریسها و ماتریسهای تعویضپذیر + تکنیکهای حل سؤالات به جزوه مراجعه کنید. |
ارتباط با ما
برای ارتباط بیشتر با علی محمدزاده شبستری و رزرو کلاس تدریس، رفع اشکال و حل تست + پشتیبانی ویژه.
میتوانید با شماره ۰۲۱۸۴۵۱ داخلی ۳۱۲۳ تماس بگیرید .







