سلام به شما دانش آموزان عزیز دهم ریاضی
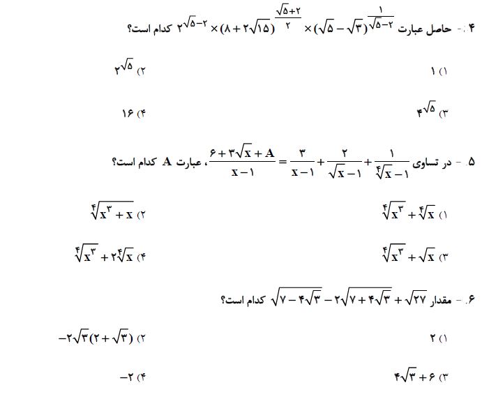
10 سوال ریاضی دهم که در ادامه برای شما قرار دادیم، جمع بندی مباحث آزمون 23 دی بوده و برای آمادگی بیشتر شما در این آزمون توسط فاطمه احدزاده رتبه 373 رشته ریاضی سال 95 انتخاب و برای شما قرار داده شده است. بعد از مطالعه ی کتاب درسی و درسنامه های آمادگی آزمون 23 دی، توصیه میکنم حتما این سوالات را حل کرده و جواب های خود را با پاسخنامه بررسی کنید.
