![]() |
دانش آموزان عزیز سلام
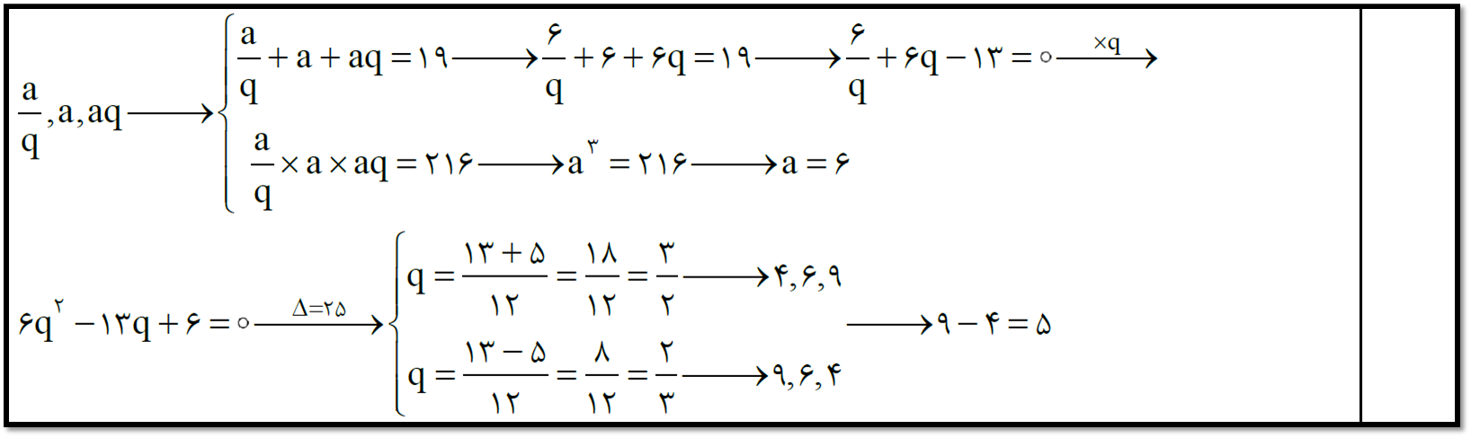
در این مطلب 10 تست کنکور چند سال اخیر از مبحث مهم دنباله حسابی و هندسی برای شما به همراه پاسخ تشریحی تهیه شده است.
برای تسلط کافی بر روی این مبحث بسیار مهم در کنکور پیشنهاد میکنم که حتما جزوه ی بنده را از قسمت پی دی اف های مطلب دانلود کنید.
- بودجه بندی کنکور های سال های اخیر این فصل:
| ریاضی | 94 | 95 | 96 | 97 | 98 | 99 | 00 |
| دنباله و تصاعد | 2 | 1 | 2 | 2 | 3 | 2 | 2 |












دوستان عزیزم ما تصمیم گرفتیم برای اینکه بتونیم ارتباطمون رو با هم بیشتر کنیم و قدم به قدم کنارتون باشیم،
صفحه اینستاگرام رتبه برترهای کانون رو بسازیم و همراهتون باشیم.

