کتاب تابستان یازدهم تجربی
این کتاب مناسب برای دانش آموزان دهمی است که قصد دارند، درسهای سال گذشته خود را مرور و برای درسهای اختصاصی سال آینده خودشان آماده شوند. این کتاب دارای ویژگیهای زیادی است که در ادامه به تشریح ویژگیهای مهم این کتاب می پردازیم:
کتابی آزمون محور و متناسب با آزمونهای تابستان:
این کتاب در 5 آزمون و در درسهای عمومی، فارسی1، عربی، زبان قرآن1 و زبان انگلیسی1 از سال دهم و درسهای اختصاصی ریاضی1، زیست شناسی1، فیزیک1 و شیمی1 از سال دهم و ریاضی2، زیست شناسی2، فیزیک2 و شیمی 2 از سال یازدهم تولید و در اختیار شما دانش آموزان قرار گرفته است.
قسمتی از فهرست این کتاب در ادامه قابل مشاهده است:

درسنامه های مفهومی و جامع :
این کتاب برای درسهای اختصاصی داراس درسنامه است. درسنامه های مرتبط با سال دهم به صورت نکته و خلاصه مطرح شده است، اما درسنامه های مرتبط با درسهای سال یازدهم مفصل و دانش آموزان با خواندن این درسنامه ها قادر خواهند بود تمامی سوالهای این کتاب را حل کنند.
نمونه ای از درسنامه این کتاب را در ادامه مشاهده می کنید:


تست های استاندارد:
این کتاب شامل انواع تیپ های تستی و با سطح استاندارد است. همة سوالها دارای شناسنامه هستند. در ادامه نمونه هایی از این تست ها را مشاهده می کنید:




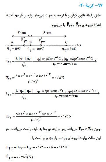
پاسخهای کاملا تشریحی:
یکی از ویژگیهای مهم این کتاب، پاسخهای کاملا تشریحی است. بعضی سوالها به چند روش حل شده است. دانش آموزان با مطالعه دقیق پاسخ سوالها، به خصوص سوال های نگاه به آینده می توانند در آن مباحث به تسلط برسند.
نمونه ای از پاسخهای مرتبط با این کتاب در ادامه آورده شده است:


