کانون فرهنگی آموزش قلم چی
صفحه اصلی
بورسیه
بورسیه
بورسیه
نکاتی مهم برای دانش آموزان بورسیه
فراخوان ثبت نام دانش آموزان بورسیه
ساخت مدارس و کتابخانه ها
اخبار بنیاد قلم چی
خبرنامه بنیاد قلم چی
هوشمند سازی مدارس
مقطع شما
صفحه مقطع شما
دوازدهم ریاضی
دوازدهم تجربی
دوازدهم انسانی
هنر
زبان
دهم ، یازدهم و دوازدهم هنرستان
دهم ، یازدهم و دوازدهم معارف
یازدهم رياضي
یازدهم تجربی
یازدهم انسانی
دهم ریاضی
دهم تجربی
دهم انسانی
نهم
هشتم
هفتم
ششم دبستان
پنجم دبستان
چهارم دبستان
سوم دبستان
دوم دبستان
اول دبستان و پیشدبستانی
آزمون های کانون
دانلود برنامه راهبردی آزمون ها
نفرات برتر آزمون ها
برنامه راهبردی
دانلود برنامه راهبردی
برنامه راهبردی
شهر شما
صفحه اختصاصی شهر شما
شهر خود را انتخاب کنید
آدرس نمایندگی های کانون
نفرات برتر کنکور شهر شما
اسامی قبولی های تیزهوشان ششم
اسامی قبولی های تیزهوشان و نمونه دولتی نهم
جشن تجلیل از رتبه های برتر کنکور
قبولی های کنکور شهر شما
تصاویر قبولی های تیزهوشان و نمونه دولتی
صفحه شخصی شما
دانش آموزان کانونی
صفحه شخصی دانش آموزان
دبیران
صفحه شخصی دبیران
عضو سایت
صفحه شخصی عضو سایت
ثبت نام
بورسیه
ثبت نام دانش آموزان بورسیه
آزمون های حضوری
ثبت نام در آزمون های قلم چی
ثبت نام ویژه طرح حکمت
ثبت نام ویژه طرح حکمت
ثبت نام در سایت
ثبت نام و شرکت غیرحضوری در آزمون ها
کتاب
کتاب های کانون فرهنگی آموزش
کتاب های کانون
اپلیکیشن کتاب زرد
فروشگاه آنلاین کتاب
کتاب های سه سطحی
کتاب های سبز
نمونه سوال
نمونه سوال امتحانی
دانلود نمونه سوال امتحانی
فیلم آموزشی
مصاحبه
مشاوره
مقالات مشاوره ای
جلسه نفرات برتر
مقاله ها و سخنان کاظم قلم چی
مجله آزمون
دانلود آرشیو مجله آزمون
مصاحبه
گفتگوی کاظم قلم چی با برترها
گفتگو با قبولی های تیزهوشان
گفتگو با دانش آموزان برتر
گفتگو با قهرمانان پیشرفت
گفتگو با قهرمانان پیوستگی
کنکور 1404
مطالب ویژه کنکوری ها
اخبار کنکور 1404
گفتگو با رتبه های برتر کنکور
مطالب درسی کنکوری ها
با چه رتبه ای در چه رشته ای قبول شدند ؟(تجربی)
با چه رتبه ای در چه رشته ای قبول شدند ؟(ریاضی)
بودجه بندی درس ها در کنکور
تخمین رتبه کنکور
کارنامه کنکور براساس رتبه
کارنامه کنکور براساس تراز کانونی
کارنامه کنکور بر اساس رشته و دانشگاه
تحلیل و پاسخ کنکور 1404
راهنمای انتخاب رشته کنکور
انتخاب رشته کنکور
انتخاب رشته ریاضی
انتخاب رشته تجربی
انتخاب رشته انسانی
انتخاب رشته هنر
انتخاب رشته زبان
رتبه های برتر کنکور
رتبه های برتر کنکور 1404
نفرات برتر کنکور 1404 شهر شما
قبولی های کنکور 1404 شهر شما
قبولی های کنکور 1404
نفرات برتر کانون از سال 80 تا 1404
گفتگو با رتبه های برتر کنکور
برترهای کنکور
رتبه های برتر کنکور از سال 80 تا 1404
رتبه های برتر کشوری از 80 تا 1404
رتبه های برتر ریاضی از 80 تا 1404
رتبه های برتر انسانی از 80 تا 1404
رتبه های برتر تجربی از 80 تا 1404
رتبه های برتر هنر از 80 تا 1404
رتبه های برتر زبان از 80 تا 1404
رتبه های برتر کنکور
رتبه های برتر کنکور 1404
نفرات برتر 1404 شهر شما
قبولی های کنکور 1404
گفتگو با رتبه های برتر کنکور
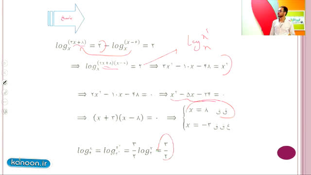
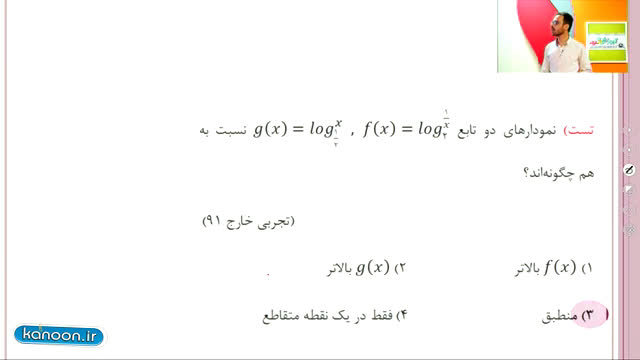
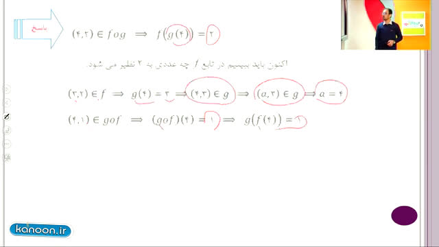
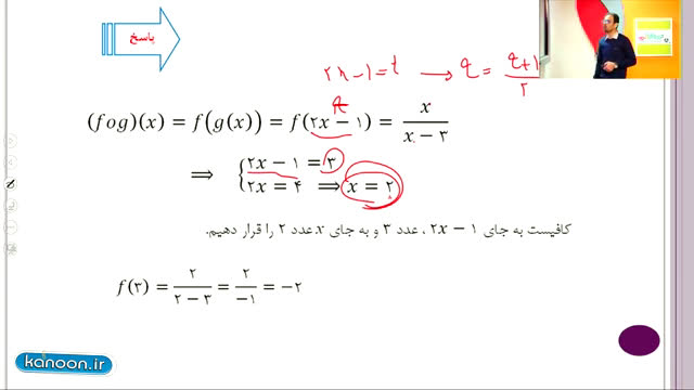
دوازدهم تجربی - ریاضی 3 - توابع و معادلات
نمونه تست رسم درجه دو از ریاضی چهارم تجربی
افشین نبی ئی
3 دقیقه
کلاس آنلاین ریاضی چهارم تجربی مبحث معادله درجه 2
فرشاد مهر افشان
64 دقیقه
لگاریتم از ریاضی چهارم تجربی
جهانگیر محمدآقایی
5 دقیقه
تابع- قدر مطلق از ریاضی چهارم تجربی
فرشاد مهر افشان
61 دقیقه
تابع
مصطفی بهنام مقدم
2 دقیقه
تابع
مصطفی بهنام مقدم
2 دقیقه
معادله ی درجه دوم
عباس اسدی
3 دقیقه
تست از معادله ی درجه دوم
عباس اسدی
2 دقیقه
نکته از معادله درجه دوم
عباس اسدی
تست از معادله درجه دوم
عباس اسدی
3 دقیقه
تست از معادله درجه دوم
عباس اسدی
4 دقیقه
تست از معادله درجه دوم
عباس اسدی
4 دقیقه
تست از معادله درجه دوم
عباس اسدی
4 دقیقه
تست از معادله درجه دوم
عباس اسدی
1 دقیقه
تمرین از معادله درجه دوم
عباس اسدی
3 دقیقه
تست از معادله درجه دوم
عباس اسدی
2 دقیقه
قدر مطلق
عباس اسدی
3 دقیقه
تست از قدر مطلق
عباس اسدی
4 دقیقه
تست از تابع قدر مطلق
عباس اسدی
4 دقیقه
نکته ازمعادله و نامعادلات
عباس اسدی
2 دقیقه
تست از تابع
عباس اسدی
3 دقیقه
مبحث حدو پیوستگی از ریاضی چهارم تجربی
فرشاد مهر افشان
53 دقیقه
نوشتن معادله درجه دو از ریاضی چهارم تجربی
محمدرضا غنوی
3 دقیقه
تابع جز صحیح از حسابان
محمدرضا غنوی
3 دقیقه
دنباله همگرا از ریاضی چهارم تجربی
محمدرضا غنوی
2 دقیقه
دنباله کراندار از ریاضی چهارم تجربی
محمدرضا غنوی
3 دقیقه
مجموع دنباله هندسی از ریاضی چهارم تجربی
محمدرضا غنوی
3 دقیقه
تست اول تصاعد حسابی و هندسی
محسن توکلی
2 دقیقه
تست دوم تصاعد حسابی و هندسی
محسن توکلی
4 دقیقه
تست سوم لگاریتم
محسن توکلی
5 دقیقه
تست چهارم لگاریتم
محسن توکلی
4 دقیقه
تست پنجم مثلثات
محسن توکلی
5 دقیقه
تست ششم مثلثات
محسن توکلی
3 دقیقه
تست هفتم مثلثات
محسن توکلی
5 دقیقه
تست هشتم تابع
محسن توکلی
3 دقیقه
تست نهم تابع
محسن توکلی
4 دقیقه
تست دهم fog
محسن توکلی
4 دقیقه
تست یازدهم fog
محسن توکلی
3 دقیقه
مرور مباحث پایه ی ریاضی چهارم تجربی
محسن توکلی
47 دقیقه
تصاعد ار ریاضی چهارم تجربی
قاسم کتابچی
3 دقیقه
تعریف معادله مثلثاتی
عباس اسدی
3 دقیقه
تست 1 از معادله مثلثاتی
عباس اسدی
2 دقیقه
تست 2از معادله مثلثاتی
عباس اسدی
4 دقیقه
تست 3 از معادله مثلثاتی
عباس اسدی
3 دقیقه
تست 4 از معادله مثلثاتی
عباس اسدی
1 دقیقه
تست 5 از معادله مثلثاتی
عباس اسدی
1 دقیقه
تست 6 از معادله مثلثاتی
عباس اسدی
1 دقیقه
تست 7 از معادله مثلثاتی
عباس اسدی
1 دقیقه
تست 8 از معادله مثلثاتی
عباس اسدی
2 دقیقه
تست 9 از معادله مثلثاتی
عباس اسدی
1 دقیقه
تست 10 از معادله مثلثاتی
عباس اسدی
2 دقیقه
تست 12 و 13 از معادله مثلثاتی
عباس اسدی
3 دقیقه
تست 14 و 15 از معادله مثلثاتی
عباس اسدی
2 دقیقه
تست 16 و 17 از معادله مثلثاتی
عباس اسدی
2 دقیقه
تست 18 از معادله مثلثاتی
عباس اسدی
1 دقیقه
معادله مثلثاتی (منطبق بر آزمون 24 دی)
عباس اسدی
38 دقیقه
همگرا بودن دنباله از ریاضی چهارم تجربی
پویا آذرمسا
3 دقیقه
معادلات مثلثاتی از ریاضی چهارم تجربی
پویا آذرمسا
1 دقیقه
تست معادلات مثلثاتی از ریاضی چهارم تجربی
پویا آذرمسا
2 دقیقه
عدد e ( رشد و زوال ) از ریاضی چهارم تجربی
پویا آذرمسا
2 دقیقه
تست 1 عدد e ( رشد و زوال ) از ریاضی چهارم تجربی
پویا آذرمسا
1 دقیقه
تست 2 عدد e ( رشد و زوال ) از ریاضی چهارم تجربی
پویا آذرمسا
2 دقیقه
معادله درجه دوم از ریاضی چهارم تجربی
محمد صادق رحمانی
3 دقیقه
دنباله حسابی و هندسی از ریاضی چهارم تجربی
محمد صادق رحمانی
3 دقیقه
لگاریتم از ریاضی چهارم تجربی
محمد صادق رحمانی
3 دقیقه
"دنبالهی حسابی دنبالهی هندسی از ریاضی چهارم تجربی
احسان حبیبی
3 دقیقه
معادلهی درجهی دوم، تابع درجهی دوم، قدرمطلق، جزء صحیح از ریاضی چهارم تجربی
وحید امیرکیایی
3 دقیقه
حل سوال 14(درس ریاضی- کنکور سراسری94)
آرش طهماسبی
حل سوال 15(درس ریاضی- کنکور سراسری94)
آرش طهماسبی
3 دقیقه
تابع (منطبق بر آزمون 5 آذر)
عباس اسدی
31 دقیقه
تابع جزء صحیح
علی هاشمی
3 دقیقه
هم گرایی - حد دنباله
علی هاشمی
4 دقیقه
دنباله هندسی
علی هاشمی
4 دقیقه
تابع قدرمطلق
علی هاشمی
3 دقیقه
تابع قدرمطلق
علی هاشمی
4 دقیقه
تابع نمایی
علی هاشمی
4 دقیقه
دنباله حسابی
علی هاشمی
3 دقیقه
ساخت تابع معکوس
علی هاشمی
4 دقیقه
محاسبه ریشه
علی هاشمی
4 دقیقه
ساخت ترکیب تابع
علی هاشمی
3 دقیقه
کار با زاویه
علی هاشمی
3 دقیقه
معادله سینوس
علی هاشمی
3 دقیقه
رشد و زوال
علی هاشمی
4 دقیقه
بررسی ریشه ها
علی هاشمی
4 دقیقه
دامنه
علی هاشمی
4 دقیقه
دنبالهی حسابی دنبالهی هندسی از ریاضی چهارم تجربی
مختار منصوری
2 دقیقه
توابع نمایی و لگاریتمی از ریاضی چهارم تجربی
مختار منصوری
3 دقیقه
معادلهی درجهی دوم، تابع درجهی دوم، قدرمطلق، جزء صحیح از ریاضی چهارم تجربی
یغما کلانتریان
3 دقیقه
توابع و معادلات ( منطبق بر آزمون 19 آبان)
محسن توکلی
47 دقیقه
تابع نمایی
عباس اسدی
2 دقیقه
حل تست از تابع نمایی
عباس اسدی
2 دقیقه
معادله درجه دوم ،تابع درجه دوم ،قدر مطلق ،جزء صحیح
عباس اسدی
67 دقیقه
دنباله
عباس اسدی
60 دقیقه
حل معادلات نمایی
عباس اسدی
2 دقیقه
تست از معادلات نمایی
عباس اسدی
4 دقیقه
تابع لگاریتمی
عباس اسدی
4 دقیقه
تست از تابع لگاریتمی
عباس اسدی
3 دقیقه
تست از تابع لگاریتمی
عباس اسدی
4 دقیقه
تست از تابع لگاریتمی
عباس اسدی
3 دقیقه
تست از تابع لگاریتمی
عباس اسدی
5 دقیقه
تابع رشد و زوال
عباس اسدی
2 دقیقه
تست تابع رشد و زوال
عباس اسدی
2 دقیقه
معادله درجه دوم، تابع براکت از ریاضی چهارم تجربی
حمیدرضا کلاته جاری
3 دقیقه
دنباله حسابی، دنباله هندسی، ترکیب از ریاضی چهارم تجربی
حمیدرضا کلاته جاری
3 دقیقه
(رشد) لگاریتم، تابع نمایی از ریاضی چهارم تجربی
حمیدرضا کلاته جاری
3 دقیقه
معادله درجه دوم و تابع و قدر مطلق از ریاضی چهارم تجربی
فرداد روشنی
3 دقیقه
حل معادلات مثلثاتی از ریاضی تجربی
پیام حسنی
68 دقیقه
لگاریتم و توابع لگاریتمی از ریاضی تجربی
پیام حسنی
64 دقیقه
دنباله حسابی و هندسی از ریاضی چهارم تجربی
فرداد روشنی
3 دقیقه
توابع نمایی و لگاریتمی از ریاضی چهارم تجربی
فرداد روشنی
3 دقیقه
معادله درجه 2
مصطفی بهنام مقدم
1 دقیقه
تابع درجه 2
مصطفی بهنام مقدم
1 دقیقه
تابع وارون
مصطفی بهنام مقدم
1 دقیقه
معادلات مثلثاتی
مصطفی بهنام مقدم
1 دقیقه
معادلات درجه2 (1)
آرش طهماسبی
6 دقیقه
معادلات درجه2 (2)
آرش طهماسبی
4 دقیقه
معادلات درجه2 (3)
آرش طهماسبی
7 دقیقه
تابع درجه2(1)
آرش طهماسبی
5 دقیقه
معادله درجه 1
جهانگیر محمدآقایی
5 دقیقه
معادله درجه2
جهانگیر محمدآقایی
4 دقیقه
معادله درجه2 (2)
جهانگیر محمدآقایی
6 دقیقه
حل تست معادله درجه2
جهانگیر محمدآقایی
4 دقیقه
روابط بین ریشه ها
جهانگیر محمدآقایی
5 دقیقه
تشکیل معادله درجه2
جهانگیر محمدآقایی
4 دقیقه
تشکیل معادله درجه2 (2)
جهانگیر محمدآقایی
5 دقیقه
قدر مطلق و براکت ( منطبق بر آزمون 3 آذر)
محسن توکلی
47 دقیقه
تابع درجه دوم
محمدرضا حاجی محمد حسینی
3 دقیقه
دنباله هندسی
علی هاشمی
4 دقیقه
ساخت با قدرمطلق ( تابع معکوس )
علی هاشمی
4 دقیقه
فرمول های مثلثاتی
علی هاشمی
3 دقیقه
جز صحیح + حل تست
عباس اسدی
2 دقیقه
حل تست از جز صحیح
عباس اسدی
3 دقیقه
حل تست از جز صحیح
عباس اسدی
4 دقیقه
تابع صعودی و نزولی و تست از آن
عباس اسدی
2 دقیقه
محاسبه ریشه
علی هاشمی
4 دقیقه
معادله tan
علی هاشمی
3 دقیقه
لگاریتم
علی هاشمی
3 دقیقه
تابع صعودی و نزولی
عباس اسدی
3 دقیقه
ترکیب تابع و دامنه تابع + تست
عباس اسدی
4 دقیقه
تست از ترکیب تابع
عباس اسدی
2 دقیقه
تست از ترکیب تابع
عباس اسدی
1 دقیقه
تابع وارون + حل تست
عباس اسدی
2 دقیقه
تست از تابع معکوس
عباس اسدی
3 دقیقه
ترکیب دو تابع
مصطفی بهنام مقدم
3 دقیقه
توابع و معادلات
مصطفی بهنام مقدم
2 دقیقه
توابع نمایی
مصطفی بهنام مقدم
2 دقیقه
تابع قدرمطلق
مصطفی بهنام مقدم
2 دقیقه
تابع وارون
مصطفی بهنام مقدم
2 دقیقه
معادله درجه دوم قسمت اول
سامان سلامیان
60 دقیقه
معادله درجه دوم قسمت دوم
سامان سلامیان
60 دقیقه
معادله درجه دوم قسمت سوم
سامان سلامیان
59 دقیقه
تابع( منطبق بر آزمون 29 مرداد )
حسین اسفینی
45 دقیقه
تابع نمایی
سامان سلامیان
56 دقیقه
لگاریتم
سامان سلامیان
27 دقیقه
تابع
سامان سلامیان
58 دقیقه
معادلهی درجهی دوم، تابع درجهی دوم، قدرمطلق، جزء صحیح
عباس اسدی
45 دقیقه
دنباله
عباس اسدی
42 دقیقه
توابع نمایی
عباس اسدی
45 دقیقه
تابع بخش اول
سامان سلامیان
57 دقیقه
تابع بخش دوم
سامان سلامیان
35 دقیقه
تابع بخش سوم
سامان سلامیان
57 دقیقه
ریشه های معادله ها از ریاضی چهارم تجربی
آرش رحیمی
2 دقیقه
جزء صحیح از ریاضی چهارم تجربی
آرش رحیمی
3 دقیقه
تابع قدر مطلق
سید مهدی رضوی
24 دقیقه
رشد و زوال (تابع نمایی)
سید مهدی رضوی
6 دقیقه
لگاریتم و تابع نمایی طبیعی
سید مهدی رضوی
11 دقیقه
معادله مثلثاتی
سید مهدی رضوی
10 دقیقه
مبحث توابع و معادلات از ریاضی چهارم تجربی
پیام حسنی
54 دقیقه
مبحث توابع و معادلات از ریاضی چهارم دبیرستان
فرشاد مهر افشان
61 دقیقه
تابع درجه2(2)
آرش طهماسبی
6 دقیقه
قدر مطلق
آرش طهماسبی
5 دقیقه
معادلات قدر مطلقی
آرش طهماسبی
5 دقیقه
معادلات و نامعادلات قدر مطلقی
آرش طهماسبی
7 دقیقه
حل معادلات و نامعادلات به روش هندسی
آرش طهماسبی
7 دقیقه
جزء صحیح
آرش طهماسبی
6 دقیقه
نمودارهای جز صحیح
آرش طهماسبی
5 دقیقه
ترکیب توابع1
آرش طهماسبی
5 دقیقه
ترکیب توابع2
آرش طهماسبی
5 دقیقه
تابع یک به یک
آرش طهماسبی
6 دقیقه
تابع وارون1
آرش طهماسبی
5 دقیقه
تابع وارون2
آرش طهماسبی
5 دقیقه
تعیین علامت تابع درجه2
جهانگیر محمدآقایی
4 دقیقه
تعیین علامت تابع درجه2 به روش تستی
جهانگیر محمدآقایی
6 دقیقه
max و min تابع
جهانگیر محمدآقایی
4 دقیقه
بررسی وضعیت دو تابع نسبت به هم
جهانگیر محمدآقایی
6 دقیقه
تابع
جهانگیر محمدآقایی
5 دقیقه
دامنه ی تعریف تابع
جهانگیر محمدآقایی
6 دقیقه
اعمال روی توابع
جهانگیر محمدآقایی
6 دقیقه
تابع مرکب
جهانگیر محمدآقایی
5 دقیقه
تغییرات دامنه و برد
جهانگیر محمدآقایی
5 دقیقه
تابع قدر مطلق
امیر خمسه
52 دقیقه
تابع معکوس از ریاضی چهارم تجربی
پویا آذرمسا
3 دقیقه
مبحث توابع و معادلات از ریاضی چهارم تجربی
فرشاد مهر افشان
56 دقیقه
معادله کسینوس
علی هاشمی
3 دقیقه
بسط مثلثاتی
علی هاشمی
3 دقیقه
معادله درجه دو (ساختن معادله جدید) از ریاضی اول دبیرستان
یغما کلانتریان
3 دقیقه
معادله درجه دو (علامتهای ریشه) از ریاضی اول دبیرستان
یغما کلانتریان
3 دقیقه
دنباله ی حسابی
آرش طهماسبی
5 دقیقه
دنباله ی حسابی2
آرش طهماسبی
6 دقیقه
دنباله هندسی
آرش طهماسبی
5 دقیقه
دنباله هندسی(2)
آرش طهماسبی
5 دقیقه
دنباله در حالت کلی
آرش طهماسبی
6 دقیقه
دنباله در حالت کلی(2)
آرش طهماسبی
6 دقیقه
دنباله در حالت کلی(3)
آرش طهماسبی
5 دقیقه
دنباله در حالت کلی(4)
آرش طهماسبی
5 دقیقه
دنباله در حالت کلی(5)
آرش طهماسبی
6 دقیقه
دنباله های صعودی و نزولی(1)
آرش طهماسبی
5 دقیقه
مجموع جملات تصاعد هندسی از ریاضی چهرم تجربی
امیرحسین افشار
3 دقیقه
معادلات مثلثاتی از ریاضی چهرم تجربی
امیرحسین افشار
3 دقیقه
دنباله های صعودی و نزولی(2)
آرش طهماسبی
5 دقیقه
دنباله های کراندار
آرش طهماسبی
6 دقیقه
تابع صعودی و نزولی- تقعر1
آرش طهماسبی
6 دقیقه
تابع صعودی و نزولی- تقعر2
آرش طهماسبی
5 دقیقه
تابع نمایی از ریاضی چهارم تجربی
امیرحسین افشار
2 دقیقه
مثلثات از ریاضی چهارم تجربی
امیرحسین افشار
3 دقیقه
تصاعد حسابی
جهانگیر محمدآقایی
5 دقیقه
حل تست تصاعد حسابی
جهانگیر محمدآقایی
5 دقیقه
تصاعد هندسی
جهانگیر محمدآقایی
5 دقیقه
حل تست تصاعد هندسی
جهانگیر محمدآقایی
6 دقیقه
رابطه بین ریشه ها
علی هاشمی
4 دقیقه
تابع نمایی و لگاریتمی
علی هاشمی
3 دقیقه
محاسبه f
علی هاشمی
3 دقیقه
معکوس و ترکیب
علی هاشمی
4 دقیقه
رابطه بین ریشه های دو معادله
علی هاشمی
3 دقیقه
تابع درجه 2
مصطفی بهنام مقدم
2 دقیقه
دنباله هندسی
مصطفی بهنام مقدم
2 دقیقه
معادله و تابع درجه 2
فرنود فارسی جانی
5 دقیقه
تست 5 از معادله درجه 2
محسن توکلی
4 دقیقه
تست 6 از قدرمطلق
محسن توکلی
4 دقیقه
تست 7 از قدرمطلق
محسن توکلی
2 دقیقه
ادامه تست 7 از قدرمطلق
محسن توکلی
3 دقیقه
تست8 از براکت
محسن توکلی
2 دقیقه
ادامه تست8 از براکت
محسن توکلی
4 دقیقه
تست 9 از براکت
محسن توکلی
2 دقیقه
تست 10 از تابع معکوس
محسن توکلی
2 دقیقه
قدرمطلق- جزء صحیح
فرنود فارسی جانی
5 دقیقه
توابع نمایی و لگاریتمی
فرنود فارسی جانی
6 دقیقه
خواص لگاریتم(1)
آرش طهماسبی
5 دقیقه
خواص لگاریتم(2)
آرش طهماسبی
5 دقیقه
خواص لگاریتم(3)
آرش طهماسبی
5 دقیقه
معادلات و نامعادلات لگاریتمی
آرش طهماسبی
6 دقیقه
حدود لگاریتم و نمودارهای لگاریتمی و نمایی
آرش طهماسبی
6 دقیقه
معادلات نمایی و معرفی عدد نپر
آرش طهماسبی
6 دقیقه
توابع رشد و زوال
آرش طهماسبی
5 دقیقه
نعریف هم گرایی دنباله ها و انواع واگرایی
عباس اسدی
1 دقیقه
تست از هم گرایی
عباس اسدی
3 دقیقه
تست از هم گرایی
عباس اسدی
2 دقیقه
تست از هم گرایی
عباس اسدی
2 دقیقه
تست از هم گرایی
عباس اسدی
4 دقیقه
تست از هم گرایی
عباس اسدی
1 دقیقه
لگاریتم و توابع نمایی
جهانگیر محمدآقایی
5 دقیقه
فرمول های لگاریتم
جهانگیر محمدآقایی
5 دقیقه
چند مثال از لگاریتم
جهانگیر محمدآقایی
5 دقیقه
رسم نمودار توابع لگاریتمی و نمایی
جهانگیر محمدآقایی
5 دقیقه
معرفی عدد e
جهانگیر محمدآقایی
5 دقیقه
دنباله صعودی و نزولی و حل تست از آن
عباس اسدی
3 دقیقه
دنباله ی کران دار و بی کران
عباس اسدی
2 دقیقه
حل تست از کران بالا
عباس اسدی
2 دقیقه
دنباله حسابی
عباس اسدی
3 دقیقه
حل تست از دنباله حسابی
عباس اسدی
2 دقیقه
تست از دنباله حسابی
عباس اسدی
2 دقیقه
تست از دنباله حسابی
عباس اسدی
1 دقیقه
حل تست از دنباله هندسی
عباس اسدی
2 دقیقه
نکته و تست از دنباله هندسی
عباس اسدی
1 دقیقه
لگاریتم
مصطفی بهنام مقدم
2 دقیقه
توابع نمایی و لگاریتمی
مصطفی بهنام مقدم
2 دقیقه
لگاریتم
مصطفی بهنام مقدم
2 دقیقه
رشد و زوال
مصطفی بهنام مقدم
2 دقیقه
معادلات لگاریتمی
مصطفی بهنام مقدم
2 دقیقه
معادلات مثلثاتی(1)
آرش طهماسبی
5 دقیقه
معادلات مثلثاتی(2)
آرش طهماسبی
5 دقیقه
معادلات مثلثاتی(3)
آرش طهماسبی
5 دقیقه
معادلات مثلثاتی(4)
آرش طهماسبی
5 دقیقه
معادلات مثلثاتی(5)
آرش طهماسبی
6 دقیقه
بررسی همگرایی و واگرایی دنباله ها از ریاضی چهارم تجربی
امیر فرجی
3 دقیقه
یکنوایی دنباله ها از ریاضی چهارم تجربی
امیر فرجی
2 دقیقه
کران داری دنباله ها از ریاضی چهارم تجربی
امیر فرجی
2 دقیقه
تعریف جزء صحیح
حسین اسفینی
3 دقیقه
خاصیت تابع جزء صحیح
حسین اسفینی
4 دقیقه
حل تست از تابع های جزء صحیح
حسین اسفینی
3 دقیقه
حل تست از تابع های جزء صحیح
حسین اسفینی
2 دقیقه
حل تست از تابع های جزء صحیح
حسین اسفینی
5 دقیقه
معادله درجه 2 (منطبق بر آزمون 17 آذر)
محسن توکلی
51 دقیقه
لگاریتم و تابعرشد و زوال ( منطبق بر آزمون 3 دی )
محسن توکلی
45 دقیقه
حل تست از تابع های جزء صحیح
حسین اسفینی
4 دقیقه
حل تست از تابع های جزء صحیح
حسین اسفینی
4 دقیقه
حل تست از تابع های جزء صحیح
حسین اسفینی
3 دقیقه
حل تست از تابع های جزء صحیح
حسین اسفینی
3 دقیقه
نمودار توابع جرء صحیح
حسین اسفینی
2 دقیقه
نمودار توابع جرء صحیح
حسین اسفینی
2 دقیقه
تست از نمودار توابع جرء صحیح
حسین اسفینی
2 دقیقه
تست از نمودار توابع جرء صحیح
حسین اسفینی
1 دقیقه
رسم نمودار تابع جزء صحیح به روشی ساده
حسین اسفینی
1 دقیقه
بررسی چند نمودار مهم جزء صحیح
حسین اسفینی
3 دقیقه
تست از جرء صحیح
حسین اسفینی
2 دقیقه
تست از نمودار توابع جرء صحیح
حسین اسفینی
2 دقیقه
تابع معکوس از ریاضی چهارم تجربی
محمدرضا غنوی
3 دقیقه
تابع قدر مطلق از ریاضی چهارم تجربی
محمدرضا غنوی
3 دقیقه
مثلثات
جهانگیر محمدآقایی
5 دقیقه
جدول زوایا
جهانگیر محمدآقایی
6 دقیقه
معرفی چهار نقطه ی مهم
جهانگیر محمدآقایی
5 دقیقه
زوایای متمم و مکمل
جهانگیر محمدآقایی
6 دقیقه
حل تست های مثلثات
جهانگیر محمدآقایی
6 دقیقه
حل تست های مثلثات
جهانگیر محمدآقایی
5 دقیقه
معرفی فرمول های مثلثاتی
جهانگیر محمدآقایی
5 دقیقه
معادلات مثلثاتی
جهانگیر محمدآقایی
5 دقیقه
معادلات مرکب
جهانگیر محمدآقایی
6 دقیقه
کاربردe در طبیعت
جهانگیر محمدآقایی
6 دقیقه
معادلات مثلثاتی از ریاضی چهارم تجربی
پیام حسنی
64 دقیقه
دنباله از ریاضی چهارم تجربی
پیام حسنی
59 دقیقه
بازگشت
Menu