کانون فرهنگی آموزش قلم چی
صفحه اصلی
بورسیه
بورسیه
بورسیه
نکاتی مهم برای دانش آموزان بورسیه
فراخوان ثبت نام دانش آموزان بورسیه
ساخت مدارس و کتابخانه ها
اخبار بنیاد قلم چی
خبرنامه بنیاد قلم چی
هوشمند سازی مدارس
مقطع شما
صفحه مقطع شما
دوازدهم ریاضی
دوازدهم تجربی
دوازدهم انسانی
هنر
زبان
دهم ، یازدهم و دوازدهم هنرستان
دهم ، یازدهم و دوازدهم معارف
یازدهم رياضي
یازدهم تجربی
یازدهم انسانی
دهم ریاضی
دهم تجربی
دهم انسانی
نهم
هشتم
هفتم
ششم دبستان
پنجم دبستان
چهارم دبستان
سوم دبستان
دوم دبستان
اول دبستان و پیشدبستانی
آزمون های کانون
دانلود برنامه راهبردی آزمون ها
نفرات برتر آزمون ها
برنامه راهبردی
دانلود برنامه راهبردی
برنامه راهبردی
شهر شما
صفحه اختصاصی شهر شما
شهر خود را انتخاب کنید
آدرس نمایندگی های کانون
نفرات برتر کنکور شهر شما
اسامی قبولی های تیزهوشان ششم
اسامی قبولی های تیزهوشان و نمونه دولتی نهم
جشن تجلیل از رتبه های برتر کنکور
قبولی های کنکور شهر شما
تصاویر قبولی های تیزهوشان و نمونه دولتی
صفحه شخصی شما
دانش آموزان کانونی
صفحه شخصی دانش آموزان
دبیران
صفحه شخصی دبیران
عضو سایت
صفحه شخصی عضو سایت
ثبت نام
بورسیه
ثبت نام دانش آموزان بورسیه
آزمون های حضوری
ثبت نام در آزمون های قلم چی
ثبت نام ویژه طرح حکمت
ثبت نام ویژه طرح حکمت
ثبت نام در سایت
ثبت نام و شرکت غیرحضوری در آزمون ها
کتاب
کتاب های کانون فرهنگی آموزش
کتاب های کانون
اپلیکیشن کتاب زرد
فروشگاه آنلاین کتاب
کتاب های سه سطحی
کتاب های سبز
نمونه سوال
نمونه سوال امتحانی
دانلود نمونه سوال امتحانی
فیلم آموزشی
مصاحبه
مشاوره
مقالات مشاوره ای
جلسه نفرات برتر
مقاله ها و سخنان کاظم قلم چی
مجله آزمون
دانلود آرشیو مجله آزمون
مصاحبه
گفتگوی کاظم قلم چی با برترها
گفتگو با قبولی های تیزهوشان
گفتگو با دانش آموزان برتر
گفتگو با قهرمانان پیشرفت
گفتگو با قهرمانان پیوستگی
کنکور 1404
مطالب ویژه کنکوری ها
اخبار کنکور 1404
گفتگو با رتبه های برتر کنکور
مطالب درسی کنکوری ها
با چه رتبه ای در چه رشته ای قبول شدند ؟(تجربی)
با چه رتبه ای در چه رشته ای قبول شدند ؟(ریاضی)
بودجه بندی درس ها در کنکور
تخمین رتبه کنکور
کارنامه کنکور براساس رتبه
کارنامه کنکور براساس تراز کانونی
کارنامه کنکور بر اساس رشته و دانشگاه
تحلیل و پاسخ کنکور 1404
راهنمای انتخاب رشته کنکور
انتخاب رشته کنکور
انتخاب رشته ریاضی
انتخاب رشته تجربی
انتخاب رشته انسانی
انتخاب رشته هنر
انتخاب رشته زبان
رتبه های برتر کنکور
رتبه های برتر کنکور 1404
نفرات برتر کنکور 1404 شهر شما
قبولی های کنکور 1404 شهر شما
قبولی های کنکور 1404
نفرات برتر کانون از سال 80 تا 1404
گفتگو با رتبه های برتر کنکور
برترهای کنکور
رتبه های برتر کنکور از سال 80 تا 1404
رتبه های برتر کشوری از 80 تا 1404
رتبه های برتر ریاضی از 80 تا 1404
رتبه های برتر انسانی از 80 تا 1404
رتبه های برتر تجربی از 80 تا 1404
رتبه های برتر هنر از 80 تا 1404
رتبه های برتر زبان از 80 تا 1404
رتبه های برتر کنکور
رتبه های برتر کنکور 1404
نفرات برتر 1404 شهر شما
قبولی های کنکور 1404
گفتگو با رتبه های برتر کنکور
دوازدهم ریاضی - فیزیک 3 - موج های مکانیکی
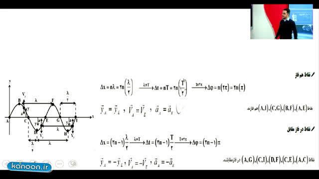
نقاط هم فاز و فاز مخالف از فیزیک چهارم دبیرستان
نیما نوروزی
2 دقیقه
حل سوال 36(درس فیزیک - کنکور سراسری94)
مهدی باباخانی
4 دقیقه
حل سوال 37(درس فیزیک - کنکور سراسری94)
مهدی باباخانی
3 دقیقه
تابع موج از از فیزیک چهارم دبیرستان
مجتبی بگلو
3 دقیقه
امواج ایستاده از فیزیک چهارم دبیرستان
مجتبی بگلو
3 دقیقه
موج مکانیکی
سامان غنی پور
2 دقیقه
موج مکانیکی از فیزیک چهارم دبیرستان
اصغر اسدالهی
3 دقیقه
موج مکانیکی 2 از فیزیک چهارم دبیرستان
اصغر اسدالهی
3 دقیقه
طول موج( حل تست)
سپهر مهرور
5 دقیقه
دسته بندی موج ها
سپهر مهرور
6 دقیقه
موج مکانیکی ( منطبق بر آزمون 22 دی)
پدرام رحمتی
33 دقیقه
موج مکانیکی بخش 2 ( منطبق بر آزمون 22 دی)
سیاوش فارسی
50 دقیقه
موج مکانیکی بخش 1 ( منطبق بر آزمون 22 دی)
سیاوش فارسی
61 دقیقه
موج مکانیکی 1 و 2 ( منطبق بر آزمون 6 بهمن )
پدرام رحمتی
59 دقیقه
معادله موج -معادله منبع- سرعت انتشار
پدرام رحمتی
7 دقیقه
حل تمرین از معادله ارتعاش -موج طولی یا عرضی
پدرام رحمتی
4 دقیقه
حل تست 1 از موج مکانیکی
پدرام رحمتی
3 دقیقه
حل تست 2 از موج مکانیکی
حبیبه محبی
1 دقیقه
حل تست 3 از موج مکانیکی
پدرام رحمتی
1 دقیقه
حل تست 4 از موج مکانیکی
پدرام رحمتی
2 دقیقه
حل تست 5 از موج مکانیکی
پدرام رحمتی
2 دقیقه
حل تست 6 از موج مکانیکی
پدرام رحمتی
5 دقیقه
حل تست 7 از موج مکانیکی
پدرام رحمتی
3 دقیقه
انتشار موج در 2 بعدیا 3 بعد
سیاوش فارسی
3 دقیقه
انرژی موج مکانیکی
سیاوش فارسی
2 دقیقه
اصل بر هم نهی امواج
سیاوش فارسی
4 دقیقه
موج ایستاده
سیاوش فارسی
7 دقیقه
طول موج و بسامد در طنابی با دو انتهای ثابت
سیاوش فارسی
4 دقیقه
بر هم نهی امواج در دو بعد
سیاوش فارسی
4 دقیقه
حل تست 1 تا 5 از موج مکانیکی
سیاوش فارسی
4 دقیقه
حل تست 6 از موج مکانیکی
سیاوش فارسی
2 دقیقه
حل تست 7 از موج مکانیکی
سیاوش فارسی
3 دقیقه
حل تست 8 و 9 از موج مکانیکی
سیاوش فارسی
2 دقیقه
حل تست 10 و 11 از موج مکانیکی
سیاوش فارسی
4 دقیقه
حل تست 12 از موج مکانیکی
سیاوش فارسی
3 دقیقه
تقسیم بندی امواج مکانیکی با توجه به محیط انتشار
سیاوش فارسی
5 دقیقه
تقسیم بندی امواج مکانیکی به لحاظ نحوه انتشار
سیاوش فارسی
4 دقیقه
سرعت انتشار موج عرضی در طناب یا تار همگن
سیاوش فارسی
4 دقیقه
طول موج
سیاوش فارسی
3 دقیقه
نقاط هم فاز و نقاط در فاز های متقابل
سیاوش فارسی
4 دقیقه
تابع موج
سیاوش فارسی
7 دقیقه
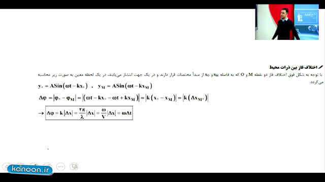
اختلاف فاز بین ذرات محیط
سیاوش فارسی
3 دقیقه
حل تست 1 و 2 از موج مکانیکی
سیاوش فارسی
3 دقیقه
حل تست 3 و 4 از موج مکانیکی
سیاوش فارسی
3 دقیقه
حل تست 5 و 6 از موج مکانیکی
سیاوش فارسی
2 دقیقه
حل تست 7 و 8 از موج مکانیکی
سیاوش فارسی
4 دقیقه
حل تست 9 و 10 از موج مکانیکی
سیاوش فارسی
3 دقیقه
حل تست 11 و 12 از موج مکانیکی
سیاوش فارسی
4 دقیقه
حل تست 13 از موج مکانیکی
سیاوش فارسی
4 دقیقه
موج مکانیکی
حسین منشی
5 دقیقه
سرعت انتشار امواج مکانیکی
حسین منشی
5 دقیقه
طول موج مکانیکی
حسین منشی
5 دقیقه
حل مثال از سرعت انتشار امواج مکانیکی
حسین منشی
4 دقیقه
تابع موج
حسین منشی
5 دقیقه
حل مثال از تابع موج
حسین منشی
6 دقیقه
حل مثال از تابع موج
حسین منشی
5 دقیقه
انتشار امواج در دو یا سه بعد
حسین منشی
6 دقیقه
بازتاب موج
حسین منشی
5 دقیقه
بر هم نهی موج ها در یک بعد
حسین منشی
6 دقیقه
بر هم نهی موج ها در دو بعد
حسین منشی
5 دقیقه
تابع موج
مهدی باباخانی
5 دقیقه
نقاط هم فاز و فاز مخالف
مهدی باباخانی
6 دقیقه
موج مکانیکی
مهدیه مظلومی
2 دقیقه
بر هم نهی موج ها
مهدیه مظلومی
5 دقیقه
مبحث موج از فیزیک چهارم ریاضی
سپهر مهرور
59 دقیقه
بسامد موج
سامان غنی پور
1 دقیقه
ماهیت و انواع امواج مکانیکی
علیرضا یاور
5 دقیقه
تغییر فاز موج
علیرضا یاور
3 دقیقه
نقش موج
علیرضا یاور
5 دقیقه
تابع موج
علی زارع امامی
39 دقیقه
بر هم نهی موج ها در دو یا سه بعد/ تداجل موج های آب
علی زارع امامی
42 دقیقه
بازگشت
Menu