سوال 105 کنکور سراسری

------------------------------------------------------
سوال 57 آزمون 26 مهر 92 کانون

سوال 93 آزمون 24 آبان 92

سوال 91 آزمون 24 آبان 92

________________________________________________________
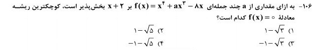
سوال 106 کنکور سراسری

------------------------------------------------------
سوال 73 آزمون 10آبان 92

سوال 97 آزمون 10 آبان 92

سوال 61 آزمون 26 مهر 92

________________________________________________________
سوال 107 کنکور سراسری

------------------------------------------------------
سوال 86 آزمون 10 آبان 92

سوال 88 آزمون 10 آبان 92

________________________________________________________
سوال 108 کنکور سراسری

------------------------------------------------------
سوال 96 آزمون 6 دی 92

________________________________________________________
سوال 109 کنکور سراسری

------------------------------------------------------
سوال 56 آزمون 25 بهمن 92

سوال 57 آزمون 25 بهمن 92

سوال 94 آزمون 9 اسفند 92

سوال 68 آزمون 23 اسفند 92

________________________________________________________
سوال 111 کنکور سراسری

------------------------------------------------------
سوال 98 آزمون 9 اسفند 92

سوال 73 آزمون 23 اسفند 92

________________________________________________________
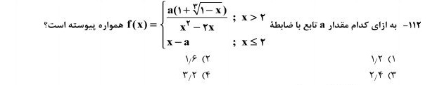
سوال 112 کنکور سراسری

------------------------------------------------------
سوال 87 آزمون 5 اردیبهشت 93

سوال 90 آزمون 5 اردیبهشت 93

سوال 87 آزمون 19 اردیبهشت 93

________________________________________________________
تهیه شده توسط : مهدی ملارمضانی مسئول درس حسابان
