زمان ( 42 دقيقه ) تعداد : 50 سوال
1-کدام یک صحیح است؟
((............... از اینکه کروموزوم های قارچ چتری وارد سیتوسل ، ...................))
1)قبل- شوند،تشکیل دوک میتوزی آغاز می شود.
2)قبل- شوند،هسته ها با یکدیگر ادغام می شوند.
3)بعد- شدند،نخینه فاقد دیواره عرضی ایجاد می شود.
4)بعد-شدند،نخینه های دیپلوئید تشکیل می شود.
2- با استفاده از محصولات حاصل از سوختن گلوکز در مسیر هوازی، نمی توان ...............
1)اکسیژن تولید کرد.
2)قند موجود در جوانه ی جو را به وجود آورد.
3)در گام چهارم چرخه ی کالوین ، ریبولوزبیس فسفات تولید کرد.
4)H+ را در خلاف جهت شیب غلظت، به فضای درون تیلاکوئید وارد کرد.
3- در پژوهش های ...................... ، کنام ................... با کنام ................... یکسان نیست.
1)مک آرتور-بنیادی سسک سینه سیاه-بنیادی سسک زرد
2)گوس-واقعی گونه ی(1)- واقعی گونه ی(2)
3)کانل-بنیادی کشتی چسب گونه ی (2)- بنیادی کشتی چسب گونه ی (1)
4)مک آرتور_ بنیادی سسک سینه سرخ- بنیادی سسک سبز آبی
4- کدام فرایند هم فراوانی آلل ها و هم فراوانی ژنوتیپ را تغییر می دهد؟
1)آمیزش همسان پسندانه
2)آمیزش موجود در گیاه شبدر
3)انتخاب جهت دار
4) نوترکیبی
5-در همه ی گیاهان فاقد دانه،در تمام طول عمر:
1) سلولهاي ان كروموزومي با ميتوز ايجاد ميشوند.
2) آنتریدی بر روی گامتوفیت نر قرار دارد.
3) گامتوفيت ان كروموزومي بوده و قادر به فتوسنتز است.
4)اسپوروفیت،وابسته به گامتوفیت است.
6_کدام عبارت به درستی بیان شده است؟
1)کرم خاکی همانند خرچنگ دراز ،در قلب خود خون تیره دارد.
2)در انسان گره های لنفاوی،موادی به داخل خون ترشح می کنند.
3)تحریک الکتریکی در بین سلول های عضله ی بطن ها توسط الیاف گرهی دیواره ی بطن،منتشر می گردد.
4)قلب خرچنگ دراز همانند قلب ملخ دریچه دار هست.
7- فرآیند ................. انرژی زا می باشد.
1) انتقال H+ از بستره به داخل تیلاکوئید
2) انتقال H+ از ماتریکس به فضای بین غشایی
3) انتقال H+ از داخل تیلاکوئید به بستره
4) تبدیل قند 3 کربنه به ترکیب 5 کربنه در چرخه ی کالوین
8-کدام یک نادرست است؟
((ترشح طولانی مدت .............................))
1)آلدسترون ،ابتلاء به خیز را افزایش می دهد.
2)کلسی تونین از سرعت انعقاد خون می کاهد.
3)هورمون ضد ادراری از حجم ادرار می کاهد.
4)اکسی توسین بر مقدار تولید شیر می افزاید.
9- کدام مورد درباره شکل مقابل نادرست هست ؟
1) در نقطه C نسبت به نقطه A خون بیشتری در دهلیز ها وجود دارد .
2) در نقطه B نسبت به نقطه A دریچه های قلبی فشار بیشتری متحمل می شوند .
3) در نقطه C برخلاف نقطه A انرژی در لایه ماهیچه ای سرخرگ ذخیره نمی شود .
4) نقطه A نسبت به نقاط B و C خون بیشتری در بطن دارد .
10-اگر مردی مبتلا به بیماری های هموفیلی و کام شکاف دار (وابسته به جنس مغلوب) ، با زنی سالم ازدواج کند ، دختری مبتلا به بیماری های هموفیلی و کام شکاف دار و زالی متولد شود ، چه نسبتی از فرزندان این زوج فقط به یک بیماری مبتلا می شوند ؟
1)4/1 2)8/1 3)16/1 4)16/3
11-در تخمیری که در تولید ماست رخ می دهد،پذیرنده ی نهایی الکترون ............ است که در ....... تولید می شود.
1)ترکیب سه کربنی-گام 4 گلیکولیز
2)ترکیب 2 کربنی-سیتوسل
3)NAD+- در گام 3 گلیکولیز
4)NADH – در گام 3 گلیکولیز
12-در همه ی یوکاریوت ها یی که دارای چرخه ی زندگی تناوب نسل هستند .............
1)از تقسیم سلول تخم، هاگ یا اسپور به وجود می آید.
2)سلول به وجود آورنده گامت ، ساختار 4 کروماتیدی تشکیل می دهد .
3)در مرحله ی اسپوروفیتی ساختار های تولید کننده ی گامت ها بوجود می آیند.
4)مرحله ی اسپوروفیتی با تقسیم میوز خاتمه می یابد.
13- در آدمی اگر در جدار پرده ی جنب شکافی ایجاد شود، هوای ............ از طریق .......... خارج شده و هوا از طریق ........ به درون حفره ی سینه مکیده می شود.
1)باقیمانده-نای-شکاف
2)مرده-شکاف-نای
3)ذخیره بازدمی-نای-شکاف
4)باقیمانده-شکاف-نای
14-کدام موارد تکمیل کننده ی جمله ی مقابل است؟(( در همه ی باکتری ها .................))
الف)فتوسنتزکننده ی ارغوانی،منبع الکترونH2S است.
ب)فتوسنتزکننده ی سبز،منبع الکترونH2O است.
ج)هتروتروف،NADH درون سیتوپلاسم تولید می شود.
د)شیمیو اتو تروف ، منبع الکترون و انرژی یکسان هست .
1)الف و ب 2)الف و ج 3)ب و ج 4)ج و د
15- کدام گزینه درباره دستگاه عصبی محیطی نادرست هست؟
1)در هر جانوری دارای دو بخش اصلی هست .
2) می توانند مستقیما به مغز متصل شوند .
3) پاسخ های غیر ارادی را در دستگاه پیکری همانند خودمختار می توان یافت .
4) همانند دستگاه درون ریز در ترشح آنزیم های معده انسان می تواند دارای نقش باشد.
16- در مراحل تقسيم.................، علاوه بر مراحل اينترفاز، مراحل ميتوز و سيتوكينز وجود دارد.
١) سلول ماهيچه ي مخطط
٢) زيگوت كپك مخاطي پلاسموديومي
٣) سلول نخينه ي كپك سياه نان
٤) سلول زايشي دانه ي گرده
17- چند جمله زیر درباره سنگواره ها نادرست است ؟
الف) می توانند در جاندارانی با ناحیه نوکلئوئیدی ایجاد شوند .
ب) ثبت واقعی آثار جاندارانی هستند که در گذشته در زمین زندگی می کرده اند .
ج) همواره بین دو گونه سنگواره حد واسط وجود دارد .
د) الگوی تدریجی را همانند ناگهانی اثبات می کنند .
ه) یکی از پژوهش ها و ارزیابی های مجدد سوپ بنیادین به حساب می آید .
1) 1 2) 2 3) 3 4) 4
18- درباره بخش مقابل کدام مورد نادرست هست ؟
1) گیاه دارای بخش مقابل می تواند جزو اولین قارچ ریشه های زمین باشد .
2) قسمت مقابل ، همتای لوله گرده در سیب هست .
3) گیاه دارای بخش مقابل ، ساختار های تولید مثلی را در راس گامتوفیت تشکیل می دهد .
4) سلول های تشکیل شده در این بخش می توانند نوعی حرکت القایی داشته باشند.
5) سلول های این بخش می توانند در مرحله تشکیل تتراد ، غشای هسته را ناپدید کنند .
1) 1 2) 2 3) 3 4) 4
19- آغازیانی که باعث ایجاد اسهال خونی می شوند، ............................
1)همواره زندگی آزاد دارند و از راه آب و غذای آلوده به بدن انسان وارد می شوند.
2)همچون نوتروفیل ها با پای کاذب حرکت می کنند و پس از ورود به بدن انسان باعث افزایش ائوزینوفیل های خون می شوند.
3)در متافاز Ι آن کروموزوم های همتا از طول کنار هم قرار گرفته و ساختار های چهار کروماتیدی به نام تتراد تشکیل می دهند.
4)همانند سلولهای گیاهی مقاومت زیادی در برابر تورژسانس دارد.
20-در روده ی بزرگ انسان ................. روده ی باریک وی ...................... .
1)برخلاف-سلول های لایه ی مخاطی،استوانه ای شکل هستند.
2)برخلاف- امکان جذب گلوکز وجود ندارد .
3)مانند-جذب آب از راه اسمز و جذب آمینو اسید ها به همراه سدیم است.
4)مانند-آمینو اسید ها و قند های جذب شده ابتدا توسط رگ به کبد می روند.
21-مقدار فضای بین سلولی در کدام گزینه با بقیه متفاوت است؟
1)عامل اتصال ماهیچه توام به استخوان پاشنه
2)عامل تسهیل کننده حرکت استخوان ها در محل مفصل
3)عامل محدود کننده حرکت استخوان ها در محل مفصل
4)لایه خارجی پرده مننژ محافظ نخاع
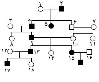
22- در مورد شجره نامه مقابل کدام گزینه نادرست هست؟
1) می تواند از نوع وابسته به جنس مغلوب باشد .
2) امکان ندارد مربوط به وابسته به جنس غالب باشد .
3) در هر الگوی وراثتی مربوط به این شجره نامه فرد شماره 18 هتروزیگوت هست .
4) در صورتیکه مربوط به اتوزومی مغلوب باشد ، ژنوتیپ فرد 11 را به قطعیت نمی توان تعیین کرد.
23-ژن تنظيم كنندهي عامل توليد پروتئين مهار كنندهي اپران لك..................... ...
1) فقط همزمان با رونويسي از ژنهاي اپران لك، رونويسي ميشود.
2) حاصل بيان ژن، توليد يكي از محصولات اپران لك ميباشد.
3) فقط همزمان با ژنهاي اپران لك، همانند سازي ميكند.
4) از ژنهاي اپران باكتري محسوب نميشود.
24 - کدامیک از موارد زیر در انتخاب جنسی نقش ندارد؟
1)رنگ درخشان در پشت ماهی های خاردار
2)انشعابات شاخ در گوزن
3)به پشت افتادن نوعی مار
4)وجود یال در شیر نر
25- کدام درباره عوامل بیماری زای گیاهان نادرست هست ؟
1) همواره دارای پروتئین هستند .
2) باعث افزایش برخی تنظیم کننده های رشد در گیاهان می شوند .
3) همواره دارای نوکلئوتید هستند .
4) می توانند توسط برخی از مواد ساخته در گیاه ، غیر فعال شوند .
26 -اوگلنا برخلاف ......... دارد،ولی همانند .......... فاقد .............. است.
1)آمیب ، میوز – پارامسی –دیواره
2)کلامیدوموناس، یک تاژک- آمیب- میوز
3)دیاتوم ، لکه ی چشمی-تاژکداران چرخان-زیگوت
4)اسپیروژیر،کلروپلاست-کلپ-دیواره
27 -کدام عبارت نادرست است؟
1)برخی از زاده های حاصل از تولید مثل جنسی خودشان قادر به تولید مثل جنسی نیستند.
2)همه زاده های حاصل از تولید مثل غیر جنسی کلون محسوب می شود.
3)در بعضی از تولید مثل های جنسی تنها یک والد شرکت می کند.
4)هیچ یک از کلون های حاصل از تولید مثل غیر جنسی توانایی تولید مثل جنسی را ندارند.
28- به طور معمول در انتهای هفته اول لوتئال ، در .........
1)رحم ، فرآیند ضخیم شدن دیواره متوقف می شود .
2) تخمدان ، فعالیت ترشحی جسم زرد کاهش می یابد .
3) خون ، مقدار هورمون پروژسترون افزایش می یابد .
4) هیپوفیز پیشین ، هورمون LH یند به مقدار بیشتری ساخته می شود .
29- با استفاده از پلازمید Ti بعنوان وکتور ، .............تفنگ ژنی ، ................
1) همانند – ژن ایجاد کننده تومور را از پلازمید خارج می کنند .
2) برخلاف – جاندار تراژنی تولید می شود .
3) همانند – می توان ژن خارجی را وارد همه گیاهان کرد .
4) برخلاف – تولید DNA نوترکیب لازم هست .
30- جاندارانی که جنین را به طور نارس به دنیا می آورند ..................
1) می توانند آنزیم تجزیه کننده سلولز بسازند.
2) در بسیاری موارد ، در روده بزرگ یا کور جذب گلوکز دارند .
3) مایع مغزی نخاعی در آنها دیده نمی شود .
4) در نوزاد بسیاری از آنها ، آنزیم های رسوب دهنده پروتئین دیده می شود .
31- کدام درباره تنظیم رشد و نمو گیاهان نادرست هست ؟
1) عناصر معدنی مورد نیاز گیاهان بیشتر به صورت یون های معدنی جذب می شوند .
2) هورمون عامل نورگرایی ، می تواند باعث اختلاف طول دیواره دو سمت ساقه شود .
3) در تنش های محیطی ، اتیلن همانند آبسیزیک اسید افزایش می یابد .
4) سرما برخلاف افزایش دما جزو عوامل محیطی عامل رویش دانه ها می باشد .
32- سلول های گیاهی که.........................قطعا .....................
1) بیشتر در پوشش دانه و میوه ها یافت می شوند – منشعب هستند.
2) دیواره نخستین با ضخامت نابرابر دارند –کوتین ترشح می کنند.
3)میتوکندری دارند- تولید FADH2 دارند .
4) مواد آلی انتقال می دهند – مصرف NAD+ دارند.
33-برای یک صفت وابسته به جنس دو اللی اگر رابطه ی الل ها از نوع .......... باشد، در ...... تعداد انواع فنوتیپ برابر با ........ خواهد بود.
1)غالب و مغلوبی-مرغ همانند ملخ نر-2
2)غالبیت ناقص- ملخ ماده برخلاف خروس-3
3) غالبیت ناقص-ملخ نر همانند خروس-3
4) غالب و مغلوبی-خروس برخلاف ملخ ماده-3
34- در یک فرد سالم .....................
1)عنبیه همانند قرنیه در تولید و ذخیره انرژی نقش دارد .
2) زلالیه بر خلاف زجاجیه دارای ساختار سلولی هست.
3) نقطه کور همانند لکه زرد فاقد گیرنده های نوری هست .
4) تغذیه نورون های شبکیه همانند سلول های عدسی بر عهده زلالیه هست .
35- کدام گزینه درباره فشار های روحی جسمی نادرست هست ؟
1) باعث افزایش انرژی در دسترس بدن می شوند .
2) باعث انقباض و یا انبساط سرخرگ های خونی کوچک در اندام های مختلف بدن می شوند .
3) دستگاه عصبی محیطی می تواند پیام های حسی را در این حالت توسط سمپاتیک به مراکز مغزی برساند .
4) پیک های شیمیایی تولید شده در این فرآیند می توانند فاقد قدرت حمل در خون باشند .
36- طبق تحقیقات سچ و آلتمن در موردRNA کدام یک از موارد زیراز اهمیت بیشتری برخوردار است؟
1) به عنوان کاتالیزور عمل می کرده است .
2) از یک نسل به نسل دیگر منتقل می شده است .
3) خود همانند ساز بوده است.
4) از یک نسل به نسل دیگر تغییر می کرده است.
37- در مورد هسته کدام مورد نادرست هست ؟
1) جانداری که دارای کلروپلاست نواری شکل هست هسته مرکزی دارد .
2) در اسپرم انسان ، وزیکول حاوی آنزیم تجزیه کننده لایه اطراف تخمک نسبت به هسته ، به گردن نزدیکتر هست .
3) در سلول استوانه ای نسبت به مخروطی ، هسته به پایانه اکسونی نزدیکتر هست .
4) نوتروفیل بر خلاف سلول های دارای گیرنده آنتی ژنی دارای هسته چند قسمتی هست .
38-کدام عبارت نادرست است؟
1)وزیکول های ارسالی از شبکه صاف به زبر در سلول جانوری می توانند حاوی کلسترول باشند.
2)همه ی کانال های غشاء،مسیر مناسبی برای عبور آب هستند.
3)امکان ندارد اگزوسیتوز در جاندار دارای پیلی رخ دهد .
4)پادتن کامل و فعال در جسم گلژی نشانه گذاری می شود.
39-کدام گزینه صحیح است؟
1)کشتی چسب از سخت پوستان است و پس از لقاح داخلی،ابتدا متحرک بوده و سپس ساکن می شود.
2)در صورت یکسان بودن کنام واقعی دو گونه جاندار،گونه ای که اندازه ی بزرگتری دارد انتخاب می شود.
3)رابطه ی صیادی،رقابت را افزایش می دهد و صدف باریک،صدف پهن را حذف می کند.
4)جمعیت های فرصت طلب،بیش ترین انرژی را صرف تولید مثل می کنند و همواره دارای رقابت هستند.
40- در جامعه ای فرضی از آدمی که در حال تعادل قرار دارد ، 8 درصد از جمعیت ،زنان هموفیل هستند . اگر این جمعیت 10000 نفر باشد ، چند نفر از افراد این جمعیت سالمند ؟
1) 1140 2) 6000 3) 7200 4) 4000
41- واکسن در مهندسی ژنتیک .....................
1) می تواند پروتئین های سطحی داشته باشد که توسط RNA پلیمرازی با بیشترین تنوع محصولات ساخته شده باشد .
2) فقط برای بیماری های ویروسی کاربرد دارند .
3) همواره جانداری تراژن محسوب می شود .
4) فقط دارای یک نوع پروتئین سطحی می باشد .
42- چند جمله درباره هیپوتالاموس نادرست هست ؟
الف) سلول های عصبی آن می توانند سازنده موادی باشند که بر بافت پیوندی رحم موثر باشد.
ب) نسبت به اپی فیز به قسمت های جلویی مغز نزدیکتر هست .
ج) هورمون های ساخته شده در آن می توانند روی بخش قشری فوق کلیه دارای گیرنده باشند .
د) هورمون های ساخته شده در آن همواره از انتهای آکسونی وارد شبکه مویرگی می شوند.
ه) هورمون ضد ادراری در آن ساخته شده و در سلول های هیپوفیز پسین دارای گیرنده هست .
1) 1 2) 2 3) 3 4) 4
43- کدام جمله درباره معده نادرست هست ؟
1) مواد شیمیایی موجود در معده تاثیر مهمی در سرعت تخلیه مواد ندارد .
2) مواد معدنی و آلی می توانند تولید پپسین معده را بیشتر کنند .
3) در همه جانوران دارای لوله گوارش ، آخرین محل ذخیره موقتی غذا در طول لوله گوارش هست.
4) مواد ترشح شده از آن می توانند محیط اسیدی و یا قلیایی را در معده زیاد کنند.
44- می توان گفت ....................در بروز رفتار ..................بی تاثیر است .
1) وراثت – موش آزمایش اسکینر
2) یادگیری – همه انعکاس ها
3) انتخاب طبیعی – شیر های شرق آفریقا
4) تجربه – غاز ماده در بازگرداندن تخم
باشد،MY و ژنوتیپ پرچمZY45-اگر در گیاهی،که الل ها در آن خود ناسازگار هستند، ژنوتیپ کلاله
در یک دانه ی آلبومن دار حاصل از لقاح مضاعف حداکثر چند نوع الل مربوط به ژن خود ناسازگار وجود دارد؟
1)1 2)2 3)3 4)4
46- سلول هایی که ………………….
1) کلروپلاست ندارند ، قطعا فاقد قدرت فتوسنتز هستند .
2) DNA ندارند ، قطعا فاقد فعالیت زیستی هستند.
3) تنفس هوازی دارند ، قطعا میتوکندری خواهند داشت.
4) پلاسمودسم دارند ، قطعا دارای غشای پلاسمایی هستند.
47 -کدام گزینه در مورد همه ی کپک ها درست است؟
الف)تا حدی قابلیت حرکت دارند. ب)دیواره ی سلولی کیتینی دارند.
ج)چرخه ی زندگی هاپلوئیدی دارند. د)انرژی خود را از مواد آلی کسب می کنند.
ه)میتوز هسته ای دارند. و)هاگ آنها حاصل تقسیم میوز است.
1)ج و د
2)الف،ج،د،و
3)د
4)ب،ه،ج،و
48- کدام جمله درباره بیماری های خود ایمنی نادرست هست؟
1) نوعی اختلال ایمنی به شمار می روند.
2) در مواردی می توانند خود به خود بهبود یابند .
3) ترشح بیش از حد بخش قشری فوق کلیه می تواند علایم آنها را تشدید کند .
4) در مواردی می توانند باعث افزایش اوره در ادرار شوند .
49-در ساختار ماهیچه ی راست شکمی انسان،....................
قرار دارند. Z1)رشته ها ی ضخیم،در بین رشته های نازک متصل به خط
2)بافت پیوندی رشته ای،مجموعه ی میوفیبریل ها را به طور مستقیم احاطه می کند.
3)هر تار شامل یک هسته،میتوکندری و سارکوپلاسم است.
4)سلول های دوکی شکل با عملکرد غیر ارادی وجود دارد.
50- چند جمله درباره گیاهان گلدار نادرست هست ؟
الف) گیاهی که بطور معمول گامت های n تولید می کند قطعا نمی تواند گامت با کروموزم های همتا تولید کند .
ب) گیاهی که ممکن است گامت 2n تولید کند قطعا از زیگوت 4n بدست آمده است .
ج) گیاهی که به طور معمول گامت 2n تولید می کند معمولا آلبومنی با 6 مجموعه کروموزم دارد .
د) گیاهی که به طور معمول گامت 2n تولید می کند ، لایه های اطراف تخمک آن دارای 4 مجموعه کروموزمی هستند.
ه) گیاهی که به طور معمول گامت 2n تولید می کند می تواند والدین 2n داشته باشد .
1)1 2)2 3)3 4)4
