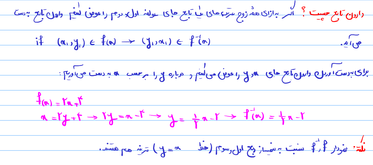
خلاصه نکات و حل سوال کنکور وارون تابع - فرشته باقری

در این مطلب ویدیو حل سوال کنکور ریاضی از وارون تابع با روش‌های مختلف همراه با خلاصه نکات این مبحث توسط فرشته باقری آورده شده.

خلاصه نکات و حل سوال کنکور وارون تابع - فرشته باقری


سلام کنکوری ها عزیز، امیدوارم که حالتون خوب باشه!

توی این مطلب ویدیو و جزوه وارون تابع را براتون آماده کردیم.

خلاصه نکات و حل سوال کنکور وارون تابع - فرشته باقری


میتونید ویدیو توضیح نکات و حل سوال با روش های مختلف را در بخش زیر تماشا کنید.

Menu