دانش آموزان عزیز سلام
من الهه پروری فارغ التحصیل مهندسی شیمی از دانشگاه تهران هستم. | ![]() |
ریاضی هفتم
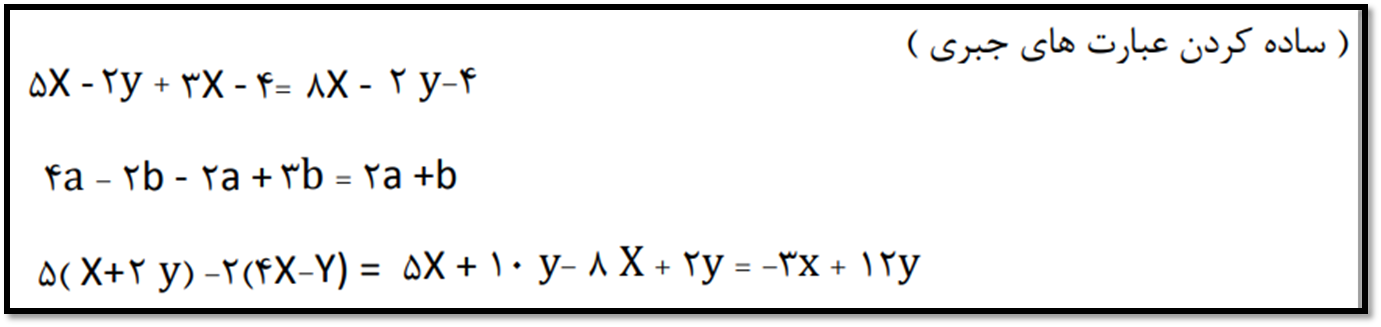
برای به دست آوردن مقدار عددی یک عبارت جبری طبق مراحل زیر عمل می کنیم:
۱- جمله ها را از هم جدا می کنیم.
۲- در هر جمله به جای حرف انگلیسی مقدار داده شده را قرار می دهیم.
۳- ضریب عددی را در مقدار داده شده ضرب می کنیم.
۴- حاصل عدد های ایجاد شده را به دست می آوریم.
تذکر: در محاسبه مقدار عددی یک عبارت جبری اگر عبارت قابل ساده شدن بود بهتر است ابتدا عبارت را ساده کرده، سپس مقدار عددی آن را به دست آوریم. سپس به جای هر حرف یک پرانتز قرار میدهیم و عدد داده شده را درون پرانتز می گذاریم.
معادله یک تساوی جبری است که به ازای بعضی از عددها عددی خاص به یک تساوی عددی درست تبدیل می شود.
منظور از حل معادله به دست آوردن مقداری برای مجهول می باشد تا یک تساوی عددی درست به دست آید.
نکته: اگر دو طرف یک تساوی را در عدد دلخواه ضرب یا بعد دلخواهی غیر از صفر تقسیم کنیم باز هم تساوی برقرار است.
برای حل یک معادله طبق مراحل زیر عمل می کنیم:
۱- مرتب کردن فایل ها در یک طرف تساوی و معلوم ها در طرف دیگر تصاویر می نویسیم.
۲- محاسبه حاصل حاصل مجهول ها و حاصل معلوم ها را به دست می آوریم.
۳- انجام تقسیم حاصل معلوم و مجهول تقسیم میکنیم.
۴- محاسبه جواب حاصل تقسیم جواب معادله میباشد.
تذکر: اگر صورت تقسیم بر مخرج آن بخش پذیر نبود آن ها را تا حد ممکن ساده میکنیم.
تذکر: اگر در تقسیم دو علامت وجود داشت با ضرب آن ها جواب را با یک علامت می نویسیم.
امتحان جواب معادله: برای اطمینان از درستی جواب به دست آمده از یک معادله می توان مانند مقدار عددی یک عبارت جواب به دست آمده را در معادله قرار داد. اگر یک تصاویر درست به دست آمد جواب معادله درست است در غیر اینصورت جواب اشتباه است.
حل مسئله به کمک معادله
!مثال اگر از ۵ برابر عددی ۶ واحد کم کنیم حاصل ۲۱- می شود. آن عدد چیست؟
ابتدا خواسته مسئله یعنی عدد را در نظر میگیریم.
چند برابر یعنی ×
کم کردن یعنی -
حاصل یعنی =
ضرب دو جمله ای در دو جمله ای: برای انجام این نوع ضرب ها ابتدا از سمت چپ اولین جمله را در هر دو جمله پرانتز ضرب میکنیم. سپس جمله دوم پرانتز اول را در هر دو جمله پرانتز دوم ضرب مینماییم و در انتهای کار در صورت وجود جمله های متشابه آنها را با هم ساده و خلاصه می کنیم.
فاکتورگیری(نوشتن یک عبارت به صورت ضرب دو عبارت): عمل فاکتور گیری درست عکس عمل توزیع پذیری( پخشی) ضرب نسبت به جمع و تفریق است.
روش کار:
۱- حرف یا حروف مشترک بین جمله ها را پیدا می کنیم.
۲- بزرگترین عددی را که همه ضریب ها بر آن بخش پذیر است، پیدا میکنیم.
۳- حاصل ضرب حروف مشترک و عدد مرحله قبل را در هم ضرب کرده، پشت پرانتز قرار میدهیم.
۴- حاصل تقسیم تک تک جمله ها را به جمله مشترک پشت پرانتز، درون پرانتز وارد میکنیم.
توجه: اگر جمله مشترک را در جمله های درون پرانتز ضرب کنیم و درست همان چندجملهای داده شده حاصل شود نشان می دهد عمل فاکتور گیری صحیح بوده است.
برای به دست آوردن مجموع ضریب های یک عبارت جبری نیازی به ضرب کردن و محاسبه حاصل نداریم بلکه کافی است به جای حروف آن عدد ۱ را قرار دهیم.
معادلات کسری:
نوع اول: در این نوع معادلات عددهای در مخرج دیده میشود و معمولاً با این جمله ها از جمله جمع و تفریق استفاده شده است. برای حل این نوع معادلات کافی هست همه جملهها را در عددی که بر همه عددهای مخرج بخشپذیر است ضرب کنیم. به طور مثال اگر در مخرج ها عدد ۲ و ۳ و ۴ دیده میشود همه جملهها را در ۱۲ ضرب می کنیم تا در اثر ساده شدن مخرج ها تبدیل به یک عدد شوند و دیگر نیازی به نوشتن مخرج نداشته باشیم.
نوع دوم: طرفین وسطین ای در این نوع معادل فقط دو کسر در مقابل هم قرار گرفتند که میتوان با طرفین وسطین کردن معادله کسری را به یک معادله ساده تبدیل کرد.


✅ بقیه جزوه با درسنامه کامل در فایل ضمیمه آمده است.
***************************************************************
🔷 تست ها
کدام یک جواب معادله رو به رو هست؟
2a+8= 20
1) 4 2) 6 3) 5 4) 7
*از 5 برابر عددی 9 واحد کم کردیم حاصل 76 شده است آن عدد کدام است؟
1) 17 2) 12 3) 16 4) 13
*روی خطی6 نقطه قرار داده ایم. تعداد پاره خط ها کدام گزینه است؟
1)6 2) 7 3) 15 4) 21
*زاویه بین نیمسازهای دو زاویهی مجانب چند درجه است؟
1) 90 2) 45 3) 60 4) 120
***************************************************************
📌 پاسخ تست ها در فایل ضمیمه موجود است.

