در سال 1402 تنها سوابق تحصیلی سال دوازدهم با تاثیر قطعی و به میزان 40 درصد تاثیر دارد
این قانونی بود که رسما تصویب شد و حالا علاوه بر اینکه باید روی کنکور تمرکز کنید، باید روی امتحانات نهایی خودتان هم تمرکز داشته باشید که بهترین نمره را بگیرید.
🥇 بهترین روش برای کسب بهترین نتایج در امتحانات نهایی، این است که تمام نمونه سوالات امتحان نهایی را هم زمان که درس هایتان را پیش می برید، مطالعه و تمرین کنید.
🎁 کاری که من برای شما کردم این است که تمام سوالات امتحان نهایی سال 1398 1399 1400 و حتی سال های قبل تر را جمع آوری کردم!
🎯 این مطالب هر هفته آپدیت میشوند و میتوانید تمام سوالات امتحان نهایی هر درس را به تفکیک مبحث دانلود کنید. اگر قدم به قدم با این مطالب پیش بروید، میتوانید یک ماه قبل از امتحانات تمام سوالات را مرور کنید.
🤍 با ما همراه باشید.
مهشید روزه دار دانشجوی حقوق دانشگاه تهران، رتبه 32 کنکور انسانی |

🔶 چرخه آمار در حل مسائل و مدل سازی 🔶
❓ 1 - در ﻫﺮ ﯾﮏ از ﻋﺒﺎرت ﻫﺎی زﯾﺮ ﺟﺎی ﺧﺎﻟﯽ را ﺑﺎ ﮐﻠﻤﺎت ﻣﻨﺎﺳﺐ ﮐﺎﻣﻞ ﮐﻨﯿﺪ.

اﻣﺘﺤﺎن ﻧﻬﺎﯾﯽ علوم انسانی دوازدﻫﻢ ریاضی و آمار 98
❓ 2- درستی یا نادرستی جمله هاي زیر را مشخص کنید.

اﻣﺘﺤﺎن ﻧﻬﺎﯾﯽ علوم انسانی دوازدﻫﻢ ریاضی و آمار 1400
❓ 3- گزینه صحیح را انتخاب کنید.

اﻣﺘﺤﺎن ﻧﻬﺎﯾﯽ علوم انسانی دوازدﻫﻢ ریاضی و آمار 1400

اﻣﺘﺤﺎن ﻧﻬﺎﯾﯽ علوم انسانی دوازدﻫﻢ ریاضی و آمار 1401
❓ 4-

اﻣﺘﺤﺎن ﻧﻬﺎﯾﯽ علوم انسانی دوازدﻫﻢ ریاضی و آمار 99
❓ 5-

اﻣﺘﺤﺎن ﻧﻬﺎﯾﯽ علوم انسانی دوازدﻫﻢ ریاضی و آمار 1400
❓ 6-

اﻣﺘﺤﺎن ﻧﻬﺎﯾﯽ علوم انسانی دوازدﻫﻢ ریاضی و آمار 1400
❓ 7-

اﻣﺘﺤﺎن ﻧﻬﺎﯾﯽ علوم انسانی دوازدﻫﻢ ریاضی و آمار 1400
❓ 8-

اﻣﺘﺤﺎن ﻧﻬﺎﯾﯽ علوم انسانی دوازدﻫﻢ ریاضی و آمار 99
❓ 9-

اﻣﺘﺤﺎن ﻧﻬﺎﯾﯽ علوم انسانی دوازدﻫﻢ ریاضی و آمار 99
❓ 10-

اﻣﺘﺤﺎن ﻧﻬﺎﯾﯽ علوم انسانی دوازدﻫﻢ ریاضی و آمار 99
❓ 11-

اﻣﺘﺤﺎن ﻧﻬﺎﯾﯽ علوم انسانی دوازدﻫﻢ ریاضی و آمار 99
❓ 12-

اﻣﺘﺤﺎن ﻧﻬﺎﯾﯽ علوم انسانی دوازدﻫﻢ ریاضی و آمار 99
❓ 13-

اﻣﺘﺤﺎن ﻧﻬﺎﯾﯽ علوم انسانی دوازدﻫﻢ ریاضی و آمار 99
❓ 14-

اﻣﺘﺤﺎن ﻧﻬﺎﯾﯽ علوم انسانی دوازدﻫﻢ ریاضی و آمار 1401
❓ 15-

اﻣﺘﺤﺎن ﻧﻬﺎﯾﯽ علوم انسانی دوازدﻫﻢ ریاضی و آمار 98

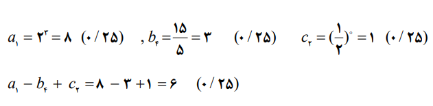
✔️ 1-

✔️ 2-

✔️ 3-
ب) 1 پ) 4
✔️ 4-

✔️ 5-

✔️ 6-

✔️ 7-

✔️ 8-

✔️ 9-

✔️ 10-

✔️ 11-

✔️ 12-

✔️ 13-

✔️ 14-

✔️ 15-

🔷 مشاوره و پشتیبانی ویژه با من 🔷
![]() | ![]() ![]() ![]() |
💯موفق باشید!💯
🔵مهشید روزه دار🔵
🟢دانشجوی حقوق دانشگاه تهران ، رتبه 32 کنکور انسانی🟢





