درسنامه مبحث معادلات مثلثاتی و حد حسابان 2 مربوط به ازمون 18 اذر 1401 مقطع دوازدهم ریاضی نگارش حنانه اتفاقی رتبه 201 منطقه 2 ریاضی 1400 دانشجو معماری دانشگاه تهران .
جواب تشریحی و کلید سوالات در پی دی اف قرار دارد .
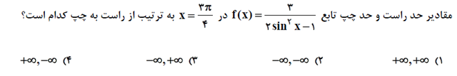
سوال 1 : حد راست و چپ

سوال 2 : حد

سوال 3 : حد

سوال 4 : نقاط پیوسته
سوال 5 : همسایگی چپ و راست

سوال 6 : مثلثات

سوال 7 : مثلثات در نمودار

سوال 8 : حد و مثلثات

سوال 9 : حد راست و چپ

سوال 10 : مثلثات

