سلام رفقای دوازدهم ریاضی عزیز!
خدا قوت
امیدوارم حال همهمون خوب باشه.
من علی محمدزاده شبستری ، دانشجوی مهندسی کامپیوتر دانشگاه شریف هستم. و امروز میخوایم یک دام احتمالی (!!) از گسسته رو یاد بگیریم. 😱
از مبحث عاد کردن، و یک سری ویژگیهاش.
دوستای عزیز میتونید جزوههای خوب نظریه اعدادرو از لینکهای زیر مطالعه کنید!
شامل یک سری نکات خاص برای دانشآموزای خاص! 😎
| سؤال |
![]() |
سعی کنید قبل از دیدن پاسخ ، روی سؤال فکر کنید و دام رو شناسایی کنید!!
پاسخ و توضیح دام |
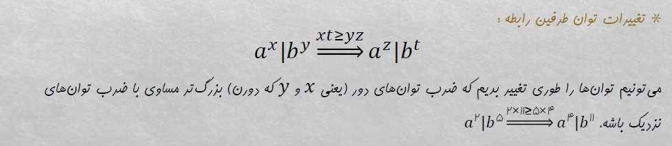
![]() نکته بالا رو قبلا در درسنامه دیدیم. توجه ویژه ما باید به شرط برقراری رابطه فوق باشه! پس بریم گزینهها رو بررسی کنیم. گزینه1 : شرط برقراره. درواقع حالت تساوی اتفاق افتاده و ![]() گزینه2 : ![]() گزینه3 : ![]() خب پس گزینه 4 رو بزنیم :) ... ؟؟ ... بزنیم؟ نزنیم؟ پس دام کو ؟! دوستای عزیز، نکته مهم توجه به اون فلش کوچیکه! همونی که ترکیب دوشرطی ایجاد کرده! ما که در صورت قضیه دوشرطی نداشتیم .... داشتیم؟ پس مسلما گزینههای 2 و 3 رد خواهند شد! و فقط گزینه1 درسته. چون از هر طرف شرط داشته باشیم، حالت تساوی برقراره و شرط برآورده میشه... |
اگه دیدگاهی دارید همین پایین برامون کامنت کنین.
برای ارتباط بیشتر با برترها،
رزرو پشتیبان ویژه،و کلاس تدریس/حل تست/رفع اشکال با من،
میتونید با شماره ۰۲۱۸۴۵۱ داخلی ۳۱۲۳ تماس بگیرید.





