توجه! شما با مطالعه این درسنامه، میتوانید به سوالات:
۱۱۹۹،۱۲۰۰،۱۲۰۲،۱۲۰۳،۱۲۰۴،۱۲۰۵ کتاب زرد کنکور تجربی
۸۶،۲۱۶،۳۵۳،۳۵۵،۳۵۶،۴۸۸،۴۹۰،۴۹۱،۵۸۹،۶۹۶،۷۹۷،۷۹۹،۹۰۲،۹۰۳ کتاب زرد ۸ دوره کنکور ریاضی
۸۵،۸۶،۲۱۷،۲۱۸،۲۱۹،۳۲۲،۴۲۶ کتاب زرد ۴ دوره کنکور ریاضی
سوالات ۲۸۵ تا ۳۰۰ کتاب نوروز رشته تجربی
و سوالات ۲۷۱،۲۷۲،۲۷۴،۲۸۰ کتاب نوروز رشته ریاضی
پاسخ دهید.برای خرید کتاب زرد و نوروز میتوانید به سایت کانون بوک مراجعه کنید.
سلام به همه کنکوریهای عزیز 🖐🖐
در این مطلب به بررسی ادمه فصل دوم فیزیک یازدهم میپردازیم.

نویسنده : علی اشرفپور، رتبه 103 منطقه 3 کنکور ریاضی 1401
🔴ویژگیهای مطلب🔴
درسنامه و نکات
5 تست شناسنامهدار
1 تست چالشی
3 تست دام دار
آزمونک 10 سواله مرور
پاسخ تشریحی سوالات در فایل ضمیمه
فقط در یک مطلب
نیروی محرکه الکتریکی(ε) :
کاری که منبع نیروی محرکه الکتریکی روی واحد بار الکتریکی مثبت انجام می دهد تا آن را از پایانه با پتانسیل کمتر به پایانه ی با پتانسیل بیشتر ببرد، اصطلاحا نیروی محرکه الکتریکی نامیده می شود که از رابطه زیر بدست می آید:


منبع نیروی محرک آرمانی:
در این نوع منبع ، مقاومت الکتریکی داخلی منبع صفر است و اختلاف پتانسیلی که این نوع منبع می تواند درست کند برابر با همان مقدار نیروی محرکه اش می باشد یعنی :

مدار تک حقله ای :
مدار تک حلقه ای شامل یک یا چند باتری ، سیم رسانا و یک یا چند مقاومت می باشد که ساده ترین نوع آن را در شکل زیر رسم کرده ایم:

!توجه!
اگر حرکت ما در جهت جریان باشد هنگام عبور از مقاومت ، پتانسیل الکتریکی به اندازه 𝐼𝑅 کاهش و اگر در خلاف جهت جریان باشد از مقاومت عبور کنیم پتانسیل الکتریکی به اندازه 𝐼𝑅 افزایش می یابد.
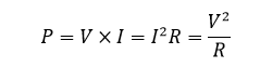
توان در مدارهای الکتریکی:
در مدارهای الکتریکی برخی از وسیله ها مانند مقاومت الکتریکی مقداری انرژی مصرف می کنند و منبع های نیروی محرکه نیز انرژی تامین می کنند. مقدار انرژی که اجزای مدار در واحد زمان مشخص مصرف یا تولید می کنند را توان الکتریکی می گویند که از رابطه زیر بدست می آید:
𝑃=𝐼Δ𝑉
توان مصرفی در مقاومت :

توان خروجی یک منبع نیروی محرکه حقیقی:


به هم بستن متوالی مقاومت ها:
به طوری که هیچ انشعابی بین آنها وجود نداشته باشد و اختلاف پتانسیلVبه دوسر این مجموعه ازمقاومت ها اعمال شده باشد. در بستن متوالی مقاومت ها از همه مقاومت ها جریان یکسان I دارند.


به عبارتی اختلاف پتانسیل کل اعمال شده، برابر با جمع اختلاف پتانسیل های دو سر مقاومت هاست.
محاسبه جریان الکتریکی:


بستن مقاومت ها به صورت موازی:
هریک از مقاومت ها اختلاف پتانسیل یکسان V در دوسر خود دارد:




در ادامه به بررسی سوالات شناسنامه دار از این فصل می پردازیم:
🎯 🎯 🎯 🎯 🎯 🎯 🎯 🎯 🎯 🎯 🎯 🎯 🎯 🎯 🎯 🎯 🎯 🎯 🎯 🎯 🎯 🎯 🎯 🎯 🎯











حالا وقت تست دام داره!!!
مبحث: اتصال کوتاه از فصل دوم فیزیک یازدهم ریاضی |
علی اشرفپور دانشجوی مهندسی کامپیوتر دانشگاه تبریز |
تست دام |
در اتصال کوتاه،از دو سر مقاومت یک سیم وصل کنیم، از آن سیم........جریان و .............ولتاژ عبور می کند. 1)بی نهایت-صفر 2)بی نهایت-بی نهایت 3)صفر-صفر 4)صفر-بی نهایت |
پاسخ تشریحی: گزینه صحیح:1 گزینه دام:4 بررسی تست: طبق کتاب درسی در اتصال کوتاه،از دو سر مقاومت یک سیم وصل کنیم، از آن سیم نهایت(بی نهایت)جریان و صفر ولتاژ عبور می کند. بررسی دام: دانش آموز اگر دقت نکند و بر مفاهیم کتاب تسلط کافی نداشته باشد در این سوال دچار دام می شود. |
🎯 🎯 🎯 🎯 🎯 🎯 🎯 🎯 🎯 🎯 🎯 🎯 🎯 🎯 🎯 🎯 🎯 🎯 🎯 🎯 🎯 🎯 🎯 🎯 🎯
مبحث: توان از فصل دوم فیزیک یازدهم ریاضی |
علی اشرفپور دانشجوی مهندسی کامپیوتر دانشگاه تبریز |
تست دام |
دو لامپ رشته ای هستند ولی سیم لامپ 1 ضخیم تر است،اگر هر دو را به ولتاژ220 وصل کنیم،لامپ....با نور بیشتری روشن می شود چون مقاومت الکتریکی آن......است. 1)1-بیشتر 2)1-کمتر 3)2-بیشتر 4)2-کمتر |
پاسخ تشریحی: گزینه صحیح:2 گزینه دام:1 بررسی تست: دو لامپ رشته ای هستند ولی سیم لامپ 1 ضخیم تر است،اگر هر دو را به ولتاژ220 وصل کنیم،لامپ1 با نور بیشتری روشن می شود چون مقاومت الکتریکی آن کمتراست. بررسی دام: دانش آموز اگر دقت نکند و بر مفاهیم کتاب تسلط کافی نداشته باشد در این سوال دچار دام می شود. |
🎯 🎯 🎯 🎯 🎯 🎯 🎯 🎯 🎯 🎯 🎯 🎯 🎯 🎯 🎯 🎯 🎯 🎯 🎯 🎯 🎯 🎯 🎯 🎯 🎯
مبحث:نیروی محرکه الکتریکی از فصل دوم فیزیک یازدهم ریاضی |
علی اشرفپور دانشجوی مهندسی کامپیوتر دانشگاه تبریز |
تست دام |
مقاومت درونی آمپرسنج بسیار.......... و مقاومت درونی ولت سنج بسیار.........است. 1)کم-زیاد 2)کم-کم 3)زیاد-زیاد 4)کم-زیاد |
پاسخ تشریحی: گزینه صحیح:1 گزینه دام:4 بررسی تست: طبق کتاب درسی مقاومت درونی آمپر سنج بسیار کم و مقاومت درونی ولت سنج بسیار زیاد است. بررسی دام: دانش آموز اگر دقت نکند و بر مفاهیم کتاب تسلط کافی نداشته باشد در این سوال دچار دام می شود. |
🎯 🎯 🎯 🎯 🎯 🎯 🎯 🎯 🎯 🎯 🎯 🎯 🎯 🎯 🎯 🎯 🎯 🎯 🎯 🎯 🎯 🎯 🎯 🎯 🎯
| سوال 1:(نسبتاً دشوار) |
![]() |
| سوال 2:(نسبتاً دشوار) |
![]() |
| سوال3:(نسبتاً ساده) |
![]() |
| سوال4:(نسبتاً ساده) |
![]() |
| سوال5:(نسبتاً دشوار) |
![]() |
| سوال 6:(نسبتاً دشوار) |
![]() |
| سوال 7:(دشوارتر) |
![]() |
| سوال8:(نسبتاً دشوار) |
![]() |
| سوال9:(دشوارتر) |
![]() |
| سوال10:(نسبتاً دشوار) |
![]() |
*پاسخ تشریحی تست ها در فایل ضمیمه است*

برای ارتباط با پشتیبان ویژه و اطلاع از شرایط مشاوره با علی اشرفپور
به لينك زير مراجعه كنيد.










