توجه! شما با مطالعه این درسنامه، میتوانید به سوالات:
۶۹،۷۰،۷۱،۲۳۹،۲۴۰،۲۴۱،۲۴۲،۴۰۹،۴۱۰،۴۱۱،۴۱۲
۵۸۲،۵۸۳،۵۸۴،۵۸۵،۷۳۵،۷۳۶،۷۳۷،۸۹۴،۸۹۵،۸۹۶،۱۰۴۹،۱۰۵۰،۱۰۵۱ کتاب زرد کنکور تجربی
۸۴،۵۹۰،۶۹۴،۶۹۵،۲۱۷،۲۱۸ کتاب زرد ۸ دوره کنکور ریاضی
۸۳،۳۲۰،۳۲۱،۴۲۷ کتاب زرد ۴ دوره کنکور ریاضی
سوالات ۲۸۵ تا ۳۰۰ کتاب نوروز رشته تجربی
و سوالات ۲۷۳ و ۲۷۶ تا ۲۷۹ کتاب نوروز رشته ریاضی
پاسخ دهید.برای خرید کتاب زرد و نوروز میتوانید به سایت کانون بوک مراجعه کنید.
سلام به همه کنکوریهای عزیز 🖐🖐
در این مطلب به بررسی فصل دوم فیزیک یازدهم میپردازیم.

نویسنده : علی اشرفپور، رتبه 103 منطقه 3 کنکور ریاضی 1401
🔴ویژگیهای مطلب🔴
درسنامه و نکات
5 تست شناسنامهدار
1 تست چالشی
3 تست دام دار
آزمونک 10 سواله مرور
پاسخ تشریحی سوالات در فایل ضمیمه
فقط در یک مطلب
🔴جریان الکتریکی🔴
به شارش(حرکت) بارهای الکتریکی درون یک رسانا در مدت زمان معین را جریان الکتریکی می گویند(نرده ای هست هاااا:))
🔴 انواع مواد از نظر رسانایی الکتریکی 🔴
1.مواد رسانا: این مواد به راحتی بار الکتریکی را از خود عبور می دهد.
2.مواد ناراسانا(عایق): این مواد بار الکتریکی را از خود عبور نمی دهند.
3.نیمه رسانا: موادی هستند که نه به خوبی رساناها بار الکتریکی را از خود عبور می دهند نه مانند نارسانا بار را از خود عبور نمی دهند.
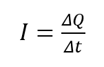
🔴جریان الکتریکی متوسط🔴
نسبت مقدار بار الکتریکی جابجا شده Δ𝑞 از سطح مقطع یک رسانا در مدت زمان معین را جریان الکتریکی متوسط می گویند و از رابطه زیر بدست می آید:
واحدشم آمپره :)
دو نوع جریان الکتریکی وجود دارد :)
جریان مستقیم DC که با گذشت زمان جهت و مقدار جریان تغییر نمی کند ، و جریان متناوب AC که در آن جهت جریان با گذشت زمان تغییر می کند.
اگر جریان الکتریکی I تحت تاثیر اختلاف پتانسیل V در یک مدار ایجاد شود ، مقاومت الکتریکی آن رسانا از رابطه زیر بدست می آید:
مقاومت رسانا بر اساس ساختار آن مقاومت یک رسانا با توجه به جنس و ساختار ظاهری آن از رابطه زیر بدست می آید:
🔴عوامل موثر بر مقاومت الکتریکی🔴
1-مساحت سطح مقطع A (ضخامت سیم): هرچه مساحت سطح مقطع رسانا بیشتر باشد ، مقاومت کمتر می شود.
2-طول رسانا (L): هر چه طول رسانا بیشتر باشد ، مقاومت رسانا افزایش می یابد.
3-جنس رسانا: مقاومت هر رسانا با رسانای دیگر متفاوت است.
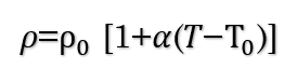
4-دما (T ): هر چه دما افزایش یابد مقاومت یک جسم بیشتر خواهد شد.
🔴رابطه مقاومت ویژه رسانا با دما🔴
🔴رفتار متفاوت نیم رساناها با افزایش دما🔴
نیم رساناها در دماهای پایین حامل های بار کمی دارند و عملا نارسانا محسوب می شوند، اما هنگامی که دما افزایش می یابد رفتار متفاوتی از خود نشان می دهند.
🔴نحوه خواندن مقدار مقاومت ترکیبی از روی رنگ های روی آن🔴
به شکل زیر توجه کنید، یک مقاومت ترکیبی است که چندین حلقه رنگی روی آن قرار دارد:

مثلا در مقاومت شکل بالا رنگ قرمز به انتهای مقاومت نزدیکتر می باشد پس از رنگ قرمز شروع به خواندن می کنیم.دو رنگ اول دو رقم اول مقاومت را نشان می دهند ، رنگ سوم ضریبی است که به صورت به دو رقم قبلی اضافه می شود. رنگ چهارم که به صورت طلایی یا نقره ای است تلرانس نامیده می شود که درصد خطا (یا انحراف)مجاز از مقدار مقاومت است.
🔴مقاومت های خاص🔴
ترمیستور: حساس به دما-افزایش دما مساوی افزایش مقاومت
مقاومت های نوری(LDR): حساس به نور-افزایش نور مساوی کاهش مقاومت
دیود: جریان الکتریکی را تنها از یک سو از خود عبور می دهد
دیود نورگسیل LED: هنگام عبور جریان از این نوع دیود ها نور منتشر می شود- نور زیاد و مصرف کم
🔴منبع نیروی محرکه الکتریکی🔴
به وسیله هایی مانند باتری که با انجام کار روی بارها اختلاف پتانسیل ایجاد می کنند مولد می گویند.
همانطور که در شکل زیر می بینید ، قطب مثبت و منفی باتری را مشخص کرده ایم، توجه داشته باشید که جریان در مدار همواره از قطب مثبت به سمت قطب منفی می باشد.

🎯 🎯 🎯 🎯 🎯 🎯 🎯 🎯 🎯 🎯 🎯 🎯 🎯 🎯 🎯 🎯 🎯 🎯 🎯 🎯 🎯 🎯 🎯 🎯 🎯
در ادامه به بررسی سوالات شناسنامه دار از این فصل می پردازیم:











حالا وقته تست دام داره!!!
مبحث: مقاومت الکتریکی از فصل دوم فیزیک یازدهم ریاضی |
علی اشرفپور دانشجوی مهندسی کامپیوتر دانشگاه تبریز |
تست دام |
اگر مقامت الکتریکی ماده ای را در دمای ثابت،ولتاژ ان را سه برابر و جریان را شش برابر کنیم در نهایت مقاومت الکتریمکی ماده چند برابر خواهد شد؟ 1)نصف 2)ثابت می ماند 3)دو برابر 4)سه برابر |
پاسخ تشریحی: گزینه صحیح:2 گزینه دام:1 بررسی تست: طبق کتاب درسی در دمای ثابت مقاومت الکتریکی ثابت است(وابسته به ولتاژ و جریان نیست). بررسی دام: دانش آموز اگر دقت نکند به عبارت دمای ثابت، در دام تست قرار میگیرد و در نهایت گزینه 1 را امتخاب می کند که اشتباه است. |
🎯 🎯 🎯 🎯 🎯 🎯 🎯 🎯 🎯 🎯 🎯 🎯 🎯 🎯 🎯 🎯 🎯 🎯 🎯 🎯 🎯 🎯 🎯 🎯 🎯
مبحث: مقاومت نوری از فصل دوم فیزیک یازدهم ریاضی |
علی اشرفپور دانشجوی مهندسی کامپیوتر دانشگاه تبریز |
تست دام |
مقاومت نوری در روشنایی...........مقاومت الکتریکی..........ایجاد می کند. 1)کم-زیاد 2)زیاد -کم 3)کم-کم 4)زیاد-زیاد |
پاسخ تشریحی: گزینه صحیح:2 گزینه دام:1 بررسی تست: طبق کتاب درسی در مقاومت نوری در روشنایی زیاد،مقاومت الکتریکی کمی ایجاد می کند. بررسی دام: دانش آموز اگر بر مفاهیم ریز کتاب درسی تسلط کافی نداشته باشد می تواند در دام تست قرار بگیرد. |
🎯 🎯 🎯 🎯 🎯 🎯 🎯 🎯 🎯 🎯 🎯 🎯 🎯 🎯 🎯 🎯 🎯 🎯 🎯 🎯 🎯 🎯 🎯 🎯 🎯
مبحث: دیود منتشر کننده نور از فصل دوم فیزیک یازدهم ریاضی |
علی اشرفپور دانشجوی مهندسی کامپیوتر دانشگاه تبریز |
تست دام |
دیود منتشر کننده نور نسبت به لامپ های رشته ای به ازای نور دهی یکسان،توان الکتریکی.......... داشته ، انرژی گرمایی........تولید می کند و عمر...........خواهد داشت. 1)کمتری-کمتری-طولانی 2)بیشتری-کمتری-طولانی 3)کمتری-کمتری-کوتاهی 4)بیشتری-بیشتری-کوتاهی |
پاسخ تشریحی: گزینه صحیح:2 گزینه دام:1 بررسی تست: طبق کتاب درسی دیود منتشر کننده نور نسبت به لامپ های رشته ای به ازای نور دهی یکسان،توان الکتریکی کمتری داشته ، انرژی گرمایی کمتری تولید می کند و عمر طولانی خواهد داشت. بررسی دام: دانش آموز اگر بر مفاهیم و عکس های کتاب درسی تسلط کافی نداشته باشد در دام این مدل تست ها قرار می گیرد. |
🎯 🎯 🎯 🎯 🎯 🎯 🎯 🎯 🎯 🎯 🎯 🎯 🎯 🎯 🎯 🎯 🎯 🎯 🎯 🎯 🎯 🎯 🎯 🎯 🎯
وقت وقت آزمونک مروره!!!!
| سوال 1:(نسبتاً دشوار) |
![]() |
| سوال 2:(نسبتاً دشوار) |
![]() |
| سوال3:(دشوار) |
![]() |
| سوال4:(نسبتاً دشوار) |
![]() |
| سوال5:(نسبتاً ساده) |
![]() |
| سوال6:(دشوار) |
![]() |
| سوال7:(نسبتاً دشوار) |
![]() |
| سوال8:(نسبتاً ساده) |
![]() |
| سوال9:(نسبتاً دشوار) |
![]() |
| سوال10:(نسبتاً دشوار) |
![]() |
*پاسخ شتریحی تست ها در فایل ضمیمه قرار گرفته است*

برای ارتباط با پشتیبان ویژه و اطلاع از شرایط مشاوره با علی اشرفپور
به لينك زير مراجعه كنيد.










