سلام دوستان !
در این مطلب قصد داریم یک دام از کتاب فیزیک دهم را برای آزمون 8 مهر پیش بینی کنیم ، با بررسی این دام های احتمالی ، هم مبحث را بهتر یاد می گیریم و هم در صورت مواجه شدن با آن ها در آزمون اشتباه نمی کنیم .
فایل اصلی را می توانید در قسمت فایل های ضمیمه دانلود کنید .
اگر سوالی داشتید در قسمت کامنت ها از بنده بپرسید . همچنین نکات و تست های چالشی که سراغ دارید را می توانید کامنت کنید تا در مطلب بعدی این نکات با نام خودتان در سایت قرار گیرد .
به 200 گرم یخ صفر درجه سانتی گراد ، 600 کیلوژول گرما می دهیم . با فرض این که تمام این گرما به یخ می رسد ، دمای نهایی آن چند درجه سانتی گراد خواهد شد ؟
1 ) 0
2 ) 80
3 ) 100
4 ) 160
پاسخ : گزینه 3 ؛
گزینه دام : گزینه 4 ؛
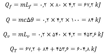
یخ صفر درجه با دیدن حرارت ، ابتدا به آب صفر درجه تبدیل می شود ؛ سپس افزایش دما خواهد داشت و تا آب 100 درجه پیش می رود و بعد نیز گرما صرف تبدیل آب ، به بخار 100 درجه می شود .
باید حساب کنیم که مجموع این گرماهای مورد نیاز برای پیشرفت فرایند ، در مقایسه با گرمایی که صورت سوال به ما داده چگونه است :
وقتی ما 600 کیلوژول گرما بدهیم ، یخ تا آب 100 درجه پیش می رود و بخشی از 200 گرم نیز تبدیل به بخار می شود اما برای این که تمام یخ اولیه به بخار تبدیل شود ، 4.8 کیلوژول گرما کم داریم . پس بخشی از آن به صورت آب 100 درجه باقی خواهد ماند .
بررسی دام : دقت کنید وقتی گرما به این حد می رسد که آب را به 100 درجه سلسیوس برساند ، آنگاه باید گرمای نهان تبخیر را حساب کنیم نه اینکه مستقیما به افزایش دما از 100 درجه به بالا برویم .
برای ارتباط بیشتر با رتبه برترها و رزرو پشتیبان ویژه، پیج کانون برترها را دنبال کنید و به کانال فوق العاده تلگرامی کانون برترها ملحق بشید تا از مطالب عالی این کانال جا نمونید.
موفق باشید !



