سلام دوستان !
در این مطلب 5 تست از کل کتاب فیزیک دهم قرار دادیم . که در آزمون 8 مهر از این قسمت سوال خواهید داشت .
برای دانلود فایل اصلی ، درسنامه و پاسخ تشریحی تست ها به قسمت فایل های ضمیمه مراجعه کنید .
هر سوال یا نظری داشتید در قسمت کامنت ها با ما به اشتراک بگذارید . همچنین اگر نکته یا تست چالشی از این مبحث سراغ دارید ، با اکانت اصلی خود زیر این صفحه کامنت کنید تا با اسم خود شما در سایت کانون بارگذاری شود .
این تست ها از آزمون 9 مهر 1400 کانون قلم چی انتخاب شده اند .

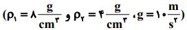
در شکل مقابل ، دو مایع در حال تعادل اند . ( P_M - P_N ) چند پاسکال است ؟
1 ) 1600
2 ) 160
3 ) 3200
4 ) 320

با توجه به شکل مقابل که مسیر عبور شاره ای تراکم ناپذیر با جریان لایه ای در حالت پایا را نشان می دهد ، تندی v3 چند متر بر ثانیه است ؟

1 ) 0.4
2 ) 0.5
3 ) 0.8
4 ) 0.6

یک آسانسور حداکثر می تواند 5 نفر با جرم متوسط 80 کیلوگرم را درون خود جای دهد . چنان چه توان الکتریکی ورودی به موتور آسانسور معادل 2.5 کیلووات باشد ، کمینه بازده آسانسور برای آن که بتواند این تعداد افراد را با تندی یکنواخت از طبقه همکف به طبقه سوم که در ارتفاع 18 متری از همکف قرار دارد ، در مدت 36 ثانیه جابجا کند ، باید چند درصد باشد ؟ ( g = 10 n/kg )
1 ) 50
2 ) 60
3 ) 75
4 ) 80

مخلوطی از گاز کامل اکسیژن و هیدروژن در محفظه ای به حجم 144 لیتر قرار دارد . فشار مخلوط گاز 10^5 پاسکال و دمای آن 27 درجه سانتی گراد است . اگر جرم گاز 132 گرم باشد ، چند مول گاز اکسیژن در ظرف موجود است ؟
1 ) ½
2 ) 1
3 ) 2
4 ) 4

شکل زیر نمودار ( P – T ) یک مول گاز کامل را طی دو فرایند مجزای ab و cd نشان می دهد . به ترتیب از راست به چپ حجم گاز و تغییر انرژی درونی گاز در فرایند ab نسبت به فرایند cd چگونه است ؟
1 ) بیشتر – بیشتر
2 ) بیش تر – برابر
3 ) کمتر – برابر
4 ) کمتر – برابر
برای ارتباط بیشتر با برترها و رزرو پشتیبان ویژه، پیج کانون برترها را دنبال کنید، همچنین می توانید با شماره ۰۲۱۸۴۵۱ داخلی ۳۱۲۳ تماس بگیرید.
موفق باشید !



