سلام
در این مطلب درسنامه و تست مبحث معادلات مثلثاتی رو بررسی خواهیم کرد.
در انتهای فایل صوتی مربوط به توضیحات این مطلب ضمیمه شده که توصیه میکنم حتما گوش بدید.
![]() | مهدیه امین فارغ التحصیل رشته مهندسی شیمی دانشگاه شریف رتبه 108 منطقه سه- کنکور ریاضی 1394 |
صفحه اینستاگرام ما
برای ارتباط بیشتر با برترها و رزرو پشتیبان ویژه ، پیج کانون برترها را دنبال کنید.
همچنین میتوانید با شماره ۰۲۱۸۴۵۱ داخلی ۳۱۲۳ تماس بگیرید.
مطالب مربوط به این آزمون:
تابع درجه سوم و یکنوایی-حسابان دوازدهم-درسنامه+تست-مهدیه امین
تبدیل نمودار توابع- حسابان دوازدهم- درسنامه+تست- مهدیه امین
بخشپذیری و تقسیم-حسابان دوازدهم-درسنامه+تست-مهدیه امین
تناوب و تانژانت-حسابان دوازدهم-درسنامه+تست-مهدیه امین






برای مشاهده ادامه درسنامه میتوانید فایل ضمیمه را دانلود کنید.










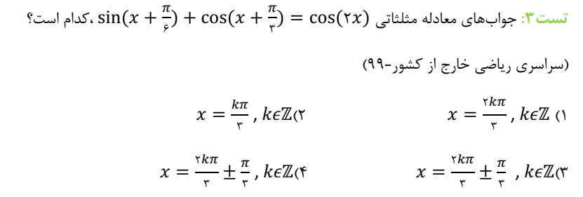
🔵سوال چالشی🔵
(دوستان عزیز جواب خودتون رو در بخش کامنتها زیر همین پست اعلام بفرمایید)
تذکر! حتما با صفحه شخصی خودتون جواب صحیح را کامنت کنید.
تذکر! حداقل تعداد کامنت جواب درست برای قرعه کشی 15 عدد است، پس به دوستان خودتون هم این مطلب رو معرفی کنید تا شانس خودشون رو امتحان کنند.
به یک دانش آموز به قید قرعه که با صفحه شخصی خودش جواب درست رو کامنت کند، *30 دقیقه مشاوره رایگان* تعلق میگیرد.
جواب درست رو کامنت کنید، شاید شما برنده باشید :))

پاسخ تست چالشی و نام برنده قرعه کشی در هر مطلب رو میتونید در مطلب بعدی مشاهده کنید.
پاسخ تست چالشی مطلب قبل:

برنده از بین کامنت های زیر همین مطلب قرعه کشی می شود و شماره تلفن فرد برنده دریافت خواهد شد.
با تشکر از توجه شما


