سلام به همه کنکوریهای عزیز 🖐🖐
در این مطلب به بررسی فصل اول فیزیک یازدهم میپردازیم.
🔴ویژگیهای مطلب🔴
درسنامه و نکات
5 تست شناسنامهدار
1 تست چالشی
پاسخ تشریحی در فایل ضمیمه
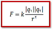
قانون کولن: نیرویی که بین دوبار الکتریکی ثابت ایجاد می شود را نیروی الکتروستاتیکی می نامند. اندازه این نیرو توسط قانون کولن به صورت زیر بیان می شود. اندازه نیروی الکتریکی(الکتروستاتیکی) بین دو بار نقطه ای که در راستای خط واصل آن ها اثرمی کند ، با حاصل ضرب بزرگی (اندازه) آن ها متناسب است و بامربع فاصله بین آن ها نسبت وارون دارد ، بنابراین ، اندازه این نیرو برابر است با:


میدان الکتریکی: خاصیتی از فضا است که توسط بارهای الکتریکی ایجاد می شود و اگر بار دیگری در آن فضا قرارگیرد به آن نیرو وارد می شود.
!توجه! پس به دلیل ایجاد میدان الکتریکی است که بارهای الکتریکی به یکدیگر نیرو وارد می کنند.
!توجه! میدان الکتریکی کمیتی برداری بوده و آن را با نماد ((Eنشان می دهند و یکای آن(نیوتون بر کولن)
است.
تعیین جهت میدان الکتریکی: بار مثبت کوچک موسوم به بار آزمون (0) را در نقطه مورد نظر قرار می دهیم. جهت نیروی وارد بر بار آزمون جهت میدان الکتریکی را در آن نقطه نشان می دهد.

میدان الکتریکی ناشی از یک بار ذره ای: میدان الکتریکی که در اطراف یک بار نقطه ای کوچک ایجاد می شود از رابطه زیر بدست می آید:

خطوط میدان الکتریکی:
1. در هر نقطه، بردار میدان الکتریکی باید مماس بر خط میدان الکتریکی عبوری از آن نقطه و درهمان جهت باشد.

2. میزان تراکم خطوط میدان در هر ناحیه از فضا نشان دهنده اندازه میدان در آن ناحیه است؛ هرجا خطوط میدان متراکمتر باشد، ندازه میدان بیشتر است.

3. در آرایشی از بارها خطوط میدان الکتریکی از بارهای مثبت شروع و به بارهای منفی ختم میشوند.

4. خطوط میدان برایند هرگز یکدیگر را قطع نمیکنند، یعنی از هر نقطه فضا فقط یک خط میدان الکتریکی میگذرد.
نیروی الکتریکی وارد بر بار الکتریکی در یک میدان الکتریکی: اگر یک ذره باردارداخل میدان الکتریکی (E) قرار گیرد نیرویی به آن وارد می شود که از رابطه زیر بدست می آید:

انرژی پتانسیل الکتریکی: اگرجسم بارداری داخل یک میدان الکتریکی قرار گیرد انرژیای در آن ذخیره میگردد که به آن انرژی پتانسیل الکتریکی میگویند.
تغییر انرژی پتانسیل الکتریکی:اگر بار الکتریکی qد ر داخل میدان E اندازه d جابجا شود، انرژی پتانسیل الکتریکی اش تغییر می کند که مقدارآن از رابطه زیر بدست می آید:

پتانسیل الکتریکی: نسبت انرژی پتانسیل الکتریکی به بار الکتریکی ذره مورد نظر را پتانسیل الکتریکی آن بار میگویند و از رابطه زیر بدست می آید:

اختلاف پتانسیل الکتریکی: اگر بار الکتریکی در میدان الکتریکی حرکت کند آنگاه ، نسبت تغییر انرژی پتانسیل الکتریکی به بار ذره را اختلاف پتانسیل الکتریکی آن ذره می گویند که از رابطه زیر بدست می آید:

رابطه اختلاف پتانسیل دو نقطه و اندازه میدان الکتریکی یکنواخت: اندازه اختلاف پتانسیل الکتریکی در یک جابجایی داخل میدان الکتریکی یکنواخت از طریق رابطه مقابل بدست می آید:

توزیع بار الکتریکی در اجسام رسانا: بار اضافی داده شده به یک رسانا روی سطح خارجی آن توزیع میشود.
نکته: بار الکتریکی همواره در سطح خارجی رسانا توزیع می شود و به گونه ای توزیع و پخش می شود که میدان الکتریکی داخل رسانا صفر گردد.
نکته: راکم بار روی اجسام رسانا در نقاط تیز بیشتر می شود.

به بررسی چند تست از این مبحث میپردازیم.





پاسخ تستها در فایل ضمیمه موجود میباشد.
🔵سوال چالشی🔵
(دوستان عزیز جواب خودتون رو در بخش کامنتها زیر همین پست اعلام بفرمایید)

!تذکر! حتما با صفحه شخصی خودتون جواب صحیح را کامنت کنید
