سلام دوستان ! ✋
در این مطلب قصد داریم بخش ضرب داخلی و ضرب خارجی از مبحث بردارها را در قالب درسنامه و تست بررسی کنیم.
در این مطلب پنج تست از مبحث فوق قرار دادیم .
اگر سوالی از این مطلب دارید در قسمت کامنت ها بپرسید .
برای دریافت پاسخ تشریحی ، مطلب را از قسمت فایل های ضمیمه دانلود کنید.
فاضل مهرآئین _ دانشجوی مهندسی مکانیک صنعتی شریف _ رتبه 333 منطقه یک
برای ارتباط بیشتر با برترها و رزرو پشتیبان ویژه، رتبه برترهای کانون قلمچی را دنبال کنید،
همچنین می توانید با شماره ۰۲۱۸۴۵۱ داخلی ۳۱۲۳ تماس بگیرید.
ضرب داخلی
اگرa(a1 , a2 , a3) و b(b1 , b2 , b3) دو بردار باشند، ضرب داخلی آن ها را با نماد a.b نمایش میدهند و به صورت زیر تعریف میشود.
a.b = a 1b1 + a2b2 + a 3b3
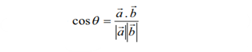
مقدار بالا برابر است با ab Cos z (z زاویه بین دو بردار aوb است)
ویژگی های ضرب داخلی
1) a.b = b.a
2) خاصیت پخشی نسبت به جمع و تفریق
a .(b+c) = a.b + a.c
در واقع میتوان فاکتورگیری کرد.
3) اگر rعددی حقیقی باشد آن گاه:(a وb بردار هستند)
r(a.b) = (ra).b = a.(rb)
4) طرفين يك رابطه را ميتوان در يك بردار، ضرب داخلي كرد ولي عكس آن درست نيست.
مثال: اگرa بردار باشد و بردارهای b وc برابر باشند آن گاه
ab = ac اما عکس آن برقرار نیست.
کاربردهای ضرب داخلی:
1) شرط عمود بودن دو بردار: شرط لازم و كافي براي عمود بودن دو بردار اين است كه ضرب داخلي آنها صفر شود.
2) زاویه بین دو بردار a و b از رابطه زیر استفاده میکنیم.

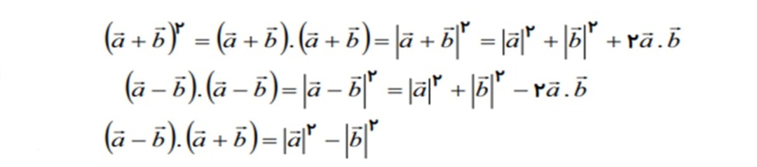
3) استفاده از اتحادها در بردارها
نامساوی کشی – شوارتز
اگر u و v دو بردار باشند آن گاه داریم:

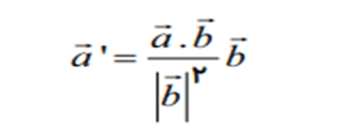
یک کاربرد مهم از ضرب داخلی
تصویر قائم بردار a بر روی امتداد راستای بردار b:


ضرب داخلی ( ضرب برداری)
برخلاف ضرب داخلي دو بردار كه حاصل آن يك عدد حقيقي است، حاصل ضرب خارجي دو بردار، يك بردار ميباشد. حاصلضرب خارجی بردارa درb را با نماد a×b نمایش داده میشود. این بردار، عمود بر هر یک از بردارهای b وa ( قانون دست راست)

ضرب خارجی a×b به صورت زیر محاسبه میشود:

اندازه بردار a×bطبق رابطه زیر محاسبه میشود:

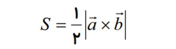
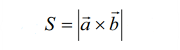
ضرب خارجی در مساحت متوازی الاضلاع و مثلث
مساحت متوازي الاضلاعي كه بردارهای a و b دو ضلع مجاور آن باشد، از رابطه زیر به دست می آید.

مساحت مثلث بین این دو بردار نیز نصف مساحت بالا می شود:

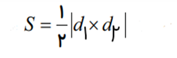
مساحت متوازي الاضلاعي كه دو قطر آنd1 و d2باشد به صورت زیر میباشد:

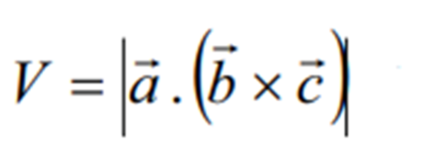
حجم متوازی السطوح
حجم متوازی السطوح از رابطه زیر به دست می آید که به آن ضرب مختلط نیز میگویند.


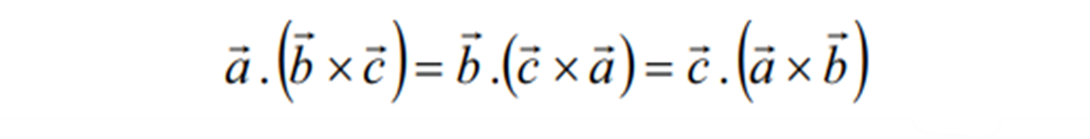
نكته: ضرب مختلط دارای حركت دوری مي باشد. يعنی:

کاربرد مهم ضرب مختلط
اگر سه بردار در یک صفحه باشند، حاصلضرب متوازی السطوح آن صفر میشود. در واقع متوازی السطوحی تشکیل نمیشود.

تست ها

اگر زاویه بین دو بردار(2 و –m و 2) و (0 و 1- و m) برابر 45 درجه باشد، حاصلضرب مقادیر ممکن برای m کدام است؟ ( آزمون کانون)
2√2
8
2√2-
8-

کدام یک از معادلات زیر میتواند به پاره خط AB که موازی محور zهاست، تعلق داشته باشد؟ ( آزمون کانون)


بردار a =(-1 , -2 , 2) مفروض است. مجموع مولفه های بردار b به طول 12 که موازی و خلاف جهت بردارa باشد، کدام است؟ (آزمون کانون)
2
2-
4
4-

اگر A=(3,1,2) و C(1,-2,2) و B=(3,-2,2)و D=(1,1,2) رئوس وجه ABCD از یک مکعب مستطیل باشند، آن گاه کدام یک از معادلات زیر به هیچ کدام یک از یال های این مستطیل تعلق ندارد؟ ( آزمون کانون)


اگر a=2i-k و b=(1,3,1) باشد، آن گاه طول بردار a-2b چند برابر طول بردار 2a-b است؟ ( آزمون کانون)
1
5/3
3√/15
5√/15
پاسخ تست ها در فایل ضمیمه آورده شده است.


