سلام به دوستان کنکوری 1401
این مطلب توسط مهدی ستاری رتبه 17منطقه 2 کنکور ریاضی 1400،دانشجوی رشته مکانیک دانشگاه شریف تهیه شده است.

صفحه اینستاگرام تجربی گروه برترها
صفحه اینستاگرام انسانی گروه برترها
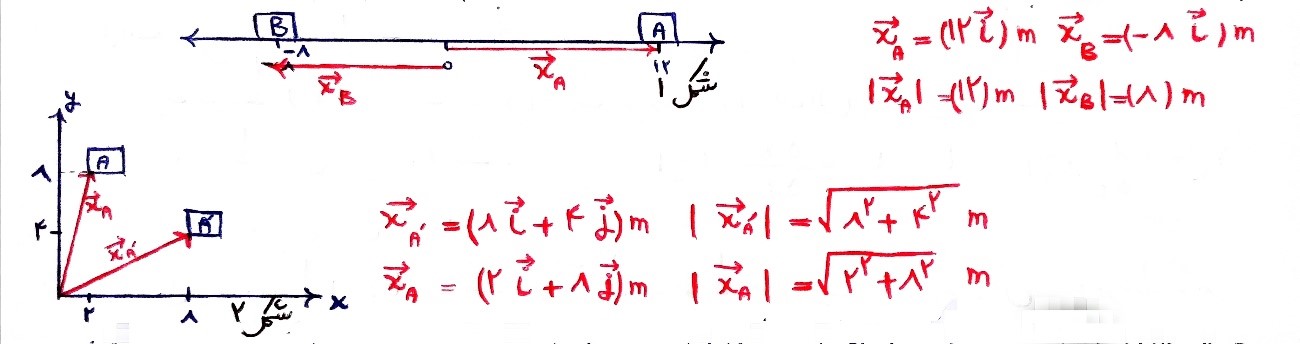
1)بردار مکان(x): به برداری که ابتدای آن ، مبدا و انتهای آن مکان جسم باشد،بردار مکان می گویند که کمیتی برداری است.

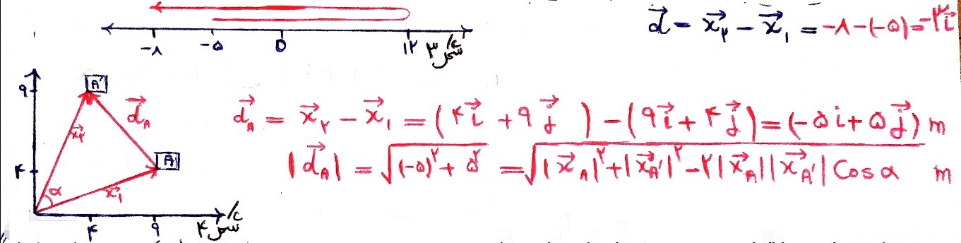
2)بردار جابجایی(d): به برداری که ابتدای آن مکان اولیه جسم و انتهای آن مکان نهایی جسم باشد ، بردار جابجایی می گویند وبه عبارت دیگر از تفریق بردار مکان اولیه جسم از بردار مکان نهایی جسم بدست می آید که کمیتی برداری است.

3)مسافت طی شده(I): به مقدار مسافتی که یک متحرک در یک مسیر مشخص (چه مستقیم و چه منحنی)طی میکند ، مسافت طی شده می گویند که کمیتی نرده ای است.

- *همیشه یادتان باشد که مسافت طی شده بزرگ تر یا مساوی جابجایی خواهد بود.چه زمانی جابجایی برابر با مسافت طی شده خواهد بود؟ بله زمانی که حرکتمان در یک مسیر مستقیم و بدون تغییر جهت باشد.
- 1)در شکل های 6 و 7 متحرک در چه مکانهایی تغییر جهت داده است؟در چه مکانهایی بردار مکانش تغییر کرده است؟
- شکل 6: بردار هایی که زیر شکل کشیده شده اند ، بردار مکان های متحرک در لحظه های مختلف است.اگر دقت کنید ، متحرک از t = 0 s تا t = 10 s ، در جهت مثبت محور x ها حرکت کرده است و از t = 10 s تغییر جهت داده است و در جهت منفی محور x ها حرکت میکند.پس فقط یک بار در لحظه t = 10 s و در مکان x = 12 m تغییر جهت داده است.اگر بتوانید بردار مکان های متحرک را در لحظه های متفاوت مانند بردار های زیر عکس در نظر بگیرید ، بردار مکان متحرک در لحظه های t = 3 s و t = 21 s تغییر کرده است.

شکل 7: بردارهایی که زیر شکل کشیده شده اند ،بردار مکان های متحرک در لحظه های مختلف است.اگر دقت کنید متحرک فقط یکبار در مکان x = 0 تغییر جهت داده است.ولی اگر بردار مکان های متحرک را حین حرکت همانند بردار های زیر شکل تصور کنید ، بردار مکان جسم تغییری نکرده است.
- *شرط تغییر جهت بردار مکان جسم ، گذر جسم از مبدا مکان(از مثبت به منفی محور یا بالعکس)می باشد.
4)حرکت یکنواخت بر روی خط راست:سرعت متوسط( Vav): به نسبت جابجایی متحرک بر مدت زمان حرکت آن ، سرعت متوسط گویند.
- *سرعت متوسط کمیتی برداری است.
- *به مسیر حرکت جسم بستگی ندارد.
- *تندی متوسط( Sav): به نسبت مسافت طی شده توسط جسم متحرک بر زمان حرکت آن تندی متوسط گویند.
- *تندی متوسط کمیتی نرده ای است.
- به مسیر حرکت جسم بستگی دارد.
- sav ≥ vav و وقتی مساوی خواهند بود که حرکت متحرک روی خط راست و بدون تغییر جهت باشد.
5)نمودارشناسی(1)(نمودارمکان-زمان)
- 2) نمودار مکان-زمان متحرکی به صورت زیر است:

الف) حرکت متحرک را روی محور x ها نشان دهید؟
ب) متحرک چندبار و در چه زمانی تغییر جهت داده است؟
ج) بردار مکان متحرک چندبار تغییر جهت داده است؟
د) در چه زمانی به بیشترین فاصله خود از مبدا حرکت می رسد؟
ه) در چه زمانی به بیشترین فاصله خود از مبدا مکان می رسد؟
پاسخ:
الف)
(درواقع نمودار را به محورy ها می چسبانیم.)
ب) t = 2 , t = 5 , t = 7
ج) t = 4 دقت کنید که متحرک در لحظهt = 7 از مبدا مکان گذر نکرده است و بردار مکانش تغییر نکرده.)
د) t = 5
ه) t = 2
6)محاسبه تندی و سرعت متوسط در مسیرهای چندگانه:
اگر متحرکی l1 مسیر که جابجاییش x1 است را در t1 ثانیه طی کند و l2 مسیر که جابجاییش x2 است را در t2 ثانیه طی کند و همین منوال را تا n دفعه طی کند ، داریم:
4)متحرکی که برروی خط راست حرکت میکند ، با تندی 12 متزبرثانیه مسافت 60 متر و با تندی 20 متربرثانیه مسافت 40 متر را در همان جهت و با تندی 10 متربرثانیه 30 متر را درخلاف جهت اولیه حرکت میکند.سرعت متوسط و تندی متوسط را محاسبه کنید.
تندی متوسط جسم با توجه به فرمول بالا 13 متربرثانیه خواهدبود.ولی چون جابجایی معلوم نیست.ولی میدانیم که سرعت متوسط کمتر مساوی 13 متربرثانیه خواهد بود.
7)تعیین سرعت وتندی متوسط جسم از روی نمودار مکان-زمان:
اگر دو نقطه مشخص در نمودار را به هم وصل کنیم ،برای محاسبه سرعت و تندی متوسط جسم داریم:
توجه داشته باشید که جسم یک بار تغییر جهت داشته است. پس مسافت آن برابر جمع مسافت جسم در بازه های t1 تا ts و ts تا t2 خواهد بود که با تقسیم آن به بازه زمانی t1 تا t2 به تندی متوسط می رسیم.
- با توجه به اینکه سرعت متوسط جسم برابر شیب خط واصل میباشد ، پس هرچه اندازه شیب خط واصلمان بیشتر باشد ، اندازه سرعت متوسطمان هم بیشتر خواهد بود.
- در صورتی سرعت متوسط حرکت یک جسم در تمام بازه ها یکسان خواهد بود که حرکت متحرک یکنواخت و بدون تغییر جهت باشد.که نمودار مکان-زمان آن به صورت یک خط با شیب ثابت میباشد.
8)تعیین سرعت وتندی لحظه ای جسم از روی نمودار مکان-زمان:
تندی لحظه ای: تند متحرک در هر لحظه را تندی لحظه ای گویند که کمیتی نرده ای است.
سرعت لحظه ای: سرعت متحرک در هر لحظه را سرعت لحظه ای گویند که کمیتی برداری است.
- کیلومترشمار اتومبیل تندی لحظه ای را نشان میدهد.
- مشتق مکان نسبت به زمان برابر سرعت لحظه ای میباشد.
- تندی لحظه ای متحرک برابر اندازه سرعت لحظه ای متحرک در همان لحظه است.
- شیب خط مماس بر نمودار مکان-زمان در یک لحظه معین ، برابر تندی لحظه ای و اندازه سرعت لحظه ای متحرک در همان لحظه است که علامت شیب ، جهت سرعت لحظه ای را نشان میدهد.
- در صورتی سرعت لحظه ای حرکت یک متحرک در تمام لحظات ثابت خواهد بود که حرکت یکنواخت بدون تغییر جهت باشد.
اگر دقت کنید در نقطه A ما بازه زمانی مشخص شده را به صفر میل دادیم تا به تک لحظه t برسیم که در آن نقطه سرعت لحظه ای برابر شیب خط مماس آن خواهد بود.
برای آنالیز بیشتر که در سوالات بسیاری دیده میشود، نوع حرکت متحرک را می توان بررسی کرد.مثلا از مبدا زمان تا لحظه t2 اگر دقت کنید ، شیب خط مماس رفته رفته کمتر میشود.یعنی اندازه سرعت لحظه ای یا همان تندی لحظه ای کمتر میشود.پس حرکت متحرک کندشونده است.از لحظه t2 تا t4 رفته رفته اندازه شیب خط مماس بیشتر میشود.پس نوع حرکت تند شونده است.

- یادتان باشد اگر نمودار مکان-زمان متحرک به صورت سهمی باشد و راس سهمی در t های مثبت رخ دهد ، نوع حرکت متحرک از مبدا زمان تا لحظه محور تقارن سهمی همواره کند شونده و بعد از آن به صورت تند شونده خواهد بود.اگر راس سهمی در t های منفی باشد هم که نوع حرکت متحرک از مبدا زمان تا آخر حرکت به صورت تند شونده خواهد بود.
- در نقاطی مثل t2 خط مماس بر نمودار موازی محور t است ، شیب مساوی صفر بوده و تندی وسرعت لحظه ای برابر صفر خواهد بود.
- پس شرط تغییر جهت ، تغییر علامت سرعت لحظه ای از مثبت به منفی و بالعکس است.
پرسش ها:
1) تحرک روی مسیر مستقیمی حرکت میکند.کدام یک از نمودارهای زیر می تواند مسافت طی شده توسط متحرک بر حسب زمان میباشد؟(کانون فرهنگی قلمچی 98)
2)نمودار مکان-زمان دو متحرک A و B که روی محور x حرکت میکنند ، مطابق شکل زیر است.کدام مقایسه بین اندازه جابجایی های دو متحرک dA وdB و مسافت طی شده توسط آنها lA و lB در بازه زمانی درست است؟(کانون فرهنگی قلمچی 98)
- 3)متحرکی در بازه های زمانی دو و سه ثانیه ، جابجایی های متوالی را انجام داده است.سرعت متوسط این متحرک را بر حسب متر بر ثانیه بدست آورید.(تالیفی)
1 ) -0.4 2 ) -1.2 3 ) 1.2 4 ) 0.4
