کانون فرهنگی آموزش قلم چی
صفحه اصلی
بورسیه
بورسیه
بورسیه
نکاتی مهم برای دانش آموزان بورسیه
فراخوان ثبت نام دانش آموزان بورسیه
ساخت مدارس و کتابخانه ها
اخبار بنیاد قلم چی
خبرنامه بنیاد قلم چی
هوشمند سازی مدارس
مقطع شما
صفحه مقطع شما
دوازدهم ریاضی
دوازدهم تجربی
دوازدهم انسانی
هنر
زبان
دهم ، یازدهم و دوازدهم هنرستان
دهم ، یازدهم و دوازدهم معارف
یازدهم رياضي
یازدهم تجربی
یازدهم انسانی
دهم ریاضی
دهم تجربی
دهم انسانی
نهم
هشتم
هفتم
ششم دبستان
پنجم دبستان
چهارم دبستان
سوم دبستان
دوم دبستان
اول دبستان و پیشدبستانی
آزمون های کانون
دانلود برنامه راهبردی آزمون ها
نفرات برتر آزمون ها
برنامه راهبردی
دانلود برنامه راهبردی
برنامه راهبردی
شهر شما
صفحه اختصاصی شهر شما
شهر خود را انتخاب کنید
آدرس نمایندگی های کانون
نفرات برتر کنکور شهر شما
اسامی قبولی های تیزهوشان ششم
اسامی قبولی های تیزهوشان و نمونه دولتی نهم
جشن تجلیل از رتبه های برتر کنکور
قبولی های کنکور شهر شما
تصاویر قبولی های تیزهوشان و نمونه دولتی
صفحه شخصی شما
دانش آموزان کانونی
صفحه شخصی دانش آموزان
دبیران
صفحه شخصی دبیران
عضو سایت
صفحه شخصی عضو سایت
ثبت نام
بورسیه
ثبت نام دانش آموزان بورسیه
آزمون های حضوری
ثبت نام در آزمون های قلم چی
ثبت نام ویژه طرح حکمت
ثبت نام ویژه طرح حکمت
ثبت نام در سایت
ثبت نام و شرکت غیرحضوری در آزمون ها
کتاب
کتاب های کانون فرهنگی آموزش
کتاب های کانون
اپلیکیشن کتاب زرد
فروشگاه آنلاین کتاب
کتاب های سه سطحی
کتاب های سبز
نمونه سوال
نمونه سوال امتحانی
دانلود نمونه سوال امتحانی
فیلم آموزشی
مصاحبه
مشاوره
مقالات مشاوره ای
جلسه نفرات برتر
مقاله ها و سخنان کاظم قلم چی
مجله آزمون
دانلود آرشیو مجله آزمون
مصاحبه
گفتگوی کاظم قلم چی با برترها
گفتگو با قبولی های تیزهوشان
گفتگو با دانش آموزان برتر
گفتگو با قهرمانان پیشرفت
گفتگو با قهرمانان پیوستگی
کنکور 1404
مطالب ویژه کنکوری ها
اخبار کنکور 1404
گفتگو با رتبه های برتر کنکور
مطالب درسی کنکوری ها
با چه رتبه ای در چه رشته ای قبول شدند ؟(تجربی)
با چه رتبه ای در چه رشته ای قبول شدند ؟(ریاضی)
بودجه بندی درس ها در کنکور
تخمین رتبه کنکور
کارنامه کنکور براساس رتبه
کارنامه کنکور براساس تراز کانونی
کارنامه کنکور بر اساس رشته و دانشگاه
تحلیل و پاسخ کنکور 1404
راهنمای انتخاب رشته کنکور
انتخاب رشته کنکور
انتخاب رشته ریاضی
انتخاب رشته تجربی
انتخاب رشته انسانی
انتخاب رشته هنر
انتخاب رشته زبان
رتبه های برتر کنکور
رتبه های برتر کنکور 1404
نفرات برتر کنکور 1404 شهر شما
قبولی های کنکور 1404 شهر شما
قبولی های کنکور 1404
نفرات برتر کانون از سال 80 تا 1404
گفتگو با رتبه های برتر کنکور
برترهای کنکور
رتبه های برتر کنکور از سال 80 تا 1404
رتبه های برتر کشوری از 80 تا 1404
رتبه های برتر ریاضی از 80 تا 1404
رتبه های برتر انسانی از 80 تا 1404
رتبه های برتر تجربی از 80 تا 1404
رتبه های برتر هنر از 80 تا 1404
رتبه های برتر زبان از 80 تا 1404
رتبه های برتر کنکور
رتبه های برتر کنکور 1404
نفرات برتر 1404 شهر شما
قبولی های کنکور 1404
گفتگو با رتبه های برتر کنکور
متوسطه 2 - دهم یازدهم
/
دهم ریاضی و تجربی
1400-07-11 ساعت 16
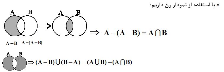
مجموعهها - ریاضی دهم -درسنامه - مهدی ملارمضانی
برای جمعبندی مباحث مجموعهها میتوانید از خلاصه درسهای زیر را مطالعه کرده و با زدن تستهای در این زمینه
مجموعهها
نویسنده: مهدی ملارمضانی - کارشناس ارشد عمران دانشگاه تهران - دبیر دبیرستان فرزانگان کرج
فایل های ضمیمه
مجوعهها
دانلود 272
مطالب مرتبط
#
درسنامه های آزمون 23 مهر 1400
نويسنده :
مهدی ملارمضانی
ارسال شده توسط :
محیا اصغری
Menu