دانش آموزان گرامی در ادامه میتوانید سوالات امتحانات نهایی مبحث محور که مطابق با بودجهبندی جامع میباشد را مطالعه کنید
با مطالعه این مطلب به صورت کامل سوالات مبحث محور درس فیزیک دوازدهم ریاضی را به صورت مبحثی بخوانید.
![]() |
![]() | دانشجوی مهندسی کامپیوتر دانشگاه تبریز ، رتبه 103 کنکور ریاضی 1401 |

فصل 4 ( برهم کنش موج ها )
❓1.

(امتحان نهایی فیزیک دوازدهم ریاضی خرداد 1400)
❓2.

(امتحان نهایی فیزیک دوازدهم ریاضی خرداد 1400)
❓3.

(امتحان نهایی فیزیک دوازدهم ریاضی خرداد 1400)
❓4.

(امتحان نهایی فیزیک دوازدهم ریاضی شهریور 1400)
❓5.

(امتحان نهایی فیزیک دوازدهم ریاضی شهریور 1400)
❓6.

(امتحان نهایی فیزیک دوازدهم ریاضی دی 1400)
❓7.

(امتحان نهایی فیزیک دوازدهم ریاضی دی 1400)
❓8.

(امتحان نهایی فیزیک دوازدهم ریاضی دی 1400)
❓9.

(امتحان نهایی فیزیک دوازدهم ریاضی خرداد 1401)
❓10.

(امتحان نهایی فیزیک دوازدهم ریاضی خرداد 1401)
❓11.

(امتحان نهایی فیزیک دوازدهم ریاضی خرداد 1401)
❓12.

(امتحان نهایی فیزیک دوازدهم ریاضی شهریور 1401)
❓13.

(امتحان نهایی فیزیک دوازدهم ریاضی شهریور 1401)
❓14.

(امتحان نهایی فیزیک دوازدهم ریاضی شهریور 1401)
❓15.

(امتحان نهایی فیزیک دوازدهم تجربی دی 1401)
❓16.

(امتحان نهایی فیزیک دوازدهم ریاضی دی 1401)
❓17.

(امتحان نهایی فیزیک دوازدهم ریاضی خرداد 1402)
❓18.

(امتحان نهایی فیزیک دوازدهم ریاضی خرداد 1402)
❓19.

(امتحان نهایی فیزیک دوازدهم ریاضی خرداد 1402)
!!!!پاسخ تشریحی!!!!
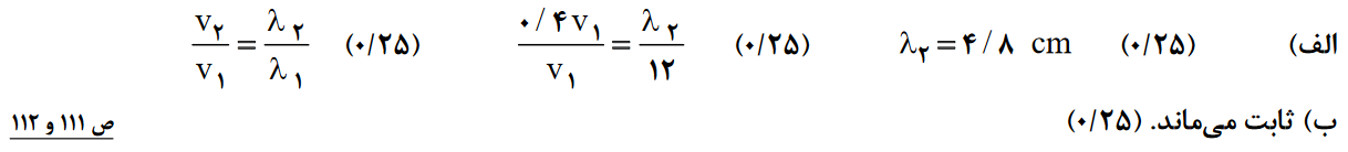
✔️1.

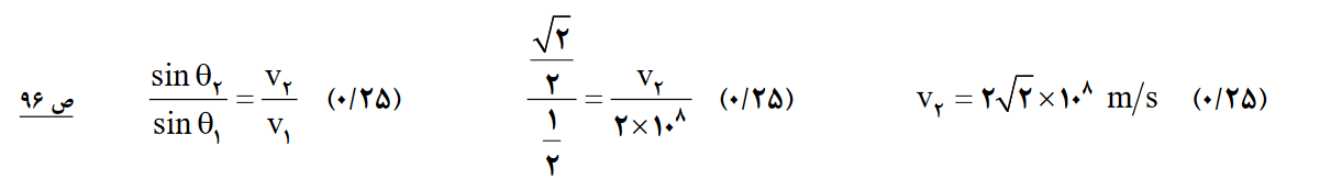
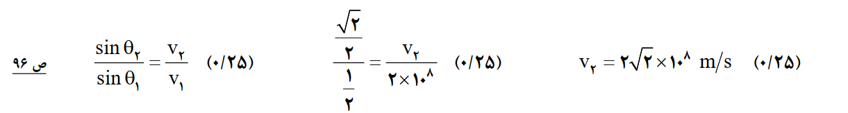
✔️2.

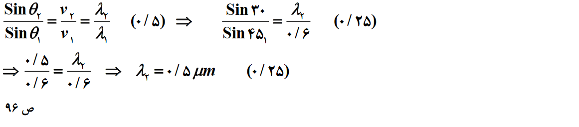
✔️3.

✔️4.

✔️5.

✔️6.

✔️7.

✔️8.

✔️9.

✔️10.

✔️11.

✔️12.

✔️13

✔️14.

✔️15.

✔️16.

✔️17.

✔️18.

✔️19.

🔷 مشاوره و پشتیبانی ویژه با من 🔷
♦️ فایل پیدیاف (PDF) ♦️
دوستان عزیز، شما میتوانید فایل پیدیاف این فصل و فصلهای قبل را که شامل سوالات امتحان نهایی و پاسخ تشریحی رسمی آنها میباشند را در انتهای همین مطلب دانلود کنید.
عضويت كانال تلگرامي كانون برترها
💯موفق باشید!💯
🔵علی اشرفپور🔵
🟢رتبه 103 کنکور 1401-دانشجوی مهندسی کامپیوتر دانشگاه تبریز🟢


