سلام دوستان عزیز
در این مطلب می خواهیم به جمع بندی خلاصه نکات و حفظیات صفحات 75 تا 108 شیمی یازدهم مطابق با بودجه بندی آزمون 20 اسفند که برای پاسخگویی به سوالات آزمون باید به آنها مسلط باشید، بپردازیم.
دانشجوی دکتری تخصصی پیوسته بیوتکنولوژی دانشگاه تهران رتبه 111 کنکور ریاضی 1394 |
برای ارتباط بیشتر با برترها و رزرو پشتیبان ویژه، پیج کانون برترها را دنبال کنید، همچنین میتونید با شماره ۰۲۱۸۴۵۱ داخلی ۳۱۲۳ تماس بگیرید.
بودجه بندی فصل دوم در کنکور سال های اخیر
غذای سالم و آهنگ واکنش:
شرایط زیر فساد مواد غذایی را به تاخیر می اندازد و ماندگاری را افزایش می دهد:
محیط سرد، محیط خشک، محیط تاریک و حذف اکسیژن از محیط
آهنگ واکنش:
آهنگ واکنش کمیتی است که نشان می دهد هر تغییر شیمیایی در چه مدت زمانی انجام می شود؛ هرچه مدت زمان انجام یک واکنش کم تر باشد، آهنگ انجام آن تند تر است و واکنش سریع تر انجام می شود.
شیمی دان ها آهنگ انجام واکنش را در گسترهء معینی از زمان به نام سرعت واکنش بیان می کنند. زمان انجام واکنش ها می تواند گستره ای ازچند صدم ثانبه تا چند سده را در بر گیرد.
سرعت واکنش از دیدگاه کمی:
از آنجا که در یک واکنش شیمیایی با گذشت زمان، واکنش دهنده ها مصرف و فرآورده ها تولید می شوند. می توان آهنگ مصرف واکنش دهنده ها و تولید فرآورده ها را در بازه ای از زمان اندازه گیری کرد.
سرعت مصرف یا تولید آن ماده در گستره ی زمانی قابل اندازه گیری(R>0) در واکنش فرضی A→B
سرعت انجام واکنش به نوع مواد واکنش دهنده، سطح تماس واکنش دهنده ها، غلظت واکنش دهنده ها، دما و کاتالیزگر وابسته است.
نکته: کاتالیزگر ماده ای است که سرعت واکنش شیمیایی را افزایش می دهند ولی خود مصرف نمی شود. مثلا حضور کاتالیزگر KI سبب تسریع تجزیه شدن هیدورژن پراکسید در دمای اتاق می شود.
نکته: هرچه سطح جامدات کوچک تر باشد سرعت انجام واکنش بیش تر است.
نکته: در برخی واکنش های تغییر غلظت تاثیری بر سرعت واکنش ندارد.
نکته: در واکنش هایی که حداقل یکی از واکنش دهنده ها گازی باشد تغییر فشار، سرعت انجام واکنش را تغییر خواهد داد.
نکته: افزایش دما سبب افزایش انرژی ذرات و طبیعتا افزایش سرعت انجام واکنش می شود.
نکته: افزودن کاتالیزگر سبب افزایش مقدار فرآورده نمی شود بلکه همان مقدار فرآورده با سرعت بیش تر و در زمان کوتاه تری تولید می شود.
نکته: نگهدارنده ها سرعت واکنش های شیمیایی را که منجر به فساد می شود، کاهش می دهند. یکی از این مواد بنزوییک اسید است که در توت فرنگی و تمشک موجود است.
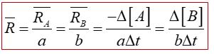
سرعت واکنش: اگر سرعت تولید یا مصرف هر یک از مواد شرکت کننده در واکنش را بر ضریب استوکیومتری آن ماده تقسیم کنیم، سرعت متوسط واکنش حاصل می شود.
سرعت متوسط واکنش گازی: aA → bB از رابطه زیر به دست می آید:
* در یک واکنش، سرعت مصرف واکنش دهنده ها و سرعت تولید فرآورده ها هر دو با گذشت زمان کاهش می یابند؛ زیرا در یک واکنش به تدریج با مصرف واکنش دهنده ها غلظت آن ها کم شده و سرعت واکنش کاهش می یابد. از طرفی سرعت تولید فرآورده ها نیز تابع سرعت مصرف واکنش دهنده ها است؛ بنابراین سرعت تولید فرآورده ها نیز کاهش می یابد.
* در یک واکنش، نمودار، «مول یا غلظت – زمان» مربوط به فرآورده ها صعودی و نمودار «مول یا غلظت – زمان» مربوط به واکنش دهنده ها نزولی است.
در مورد فرآورده ها، شیب نمودار، سرعت متوسط تولید فرآورده را نشان می دهد؛ اما در مورد واکنش دهنده ها از آنجا که شیب نمودار، عددی منفی است، قدر مطلق شیب، سرعت متوسط مصرف واکنش دهنده ها را نشان می دهد.
* در لحظهء پایان واکنش، نمودار «مول یا غلظت – زمان» فرآورده به صورت خط راست و افقی در می آید؛ یعنی شیب این نمودار و سرعت واکنش به صفر می رسد.
* توجه: فرم کلی مقدار – زمان واکنش دهنده ها و فرآورده های جامد و مایع خالص، مانند شکل های قبل است، اما گفتیم که غلظت مواد جامد و مایع خالص همواره مقدار ثابتی می باشد؛ بنابراین نمودار غلظت – زمان برای این مواد به صورت رو به رو خواهد بود:
آشنایی اولیه با کربوکسیلیک اسیدها
کربوکسیلیک اسیدها دسته ای از ترکیب های آلی هستند که در ساختار آن ها یک یا چند گروه عاملی کربوکسیل وجود دارد.
1- آشناترین عضو خانوادهء کربوکسیلیک اسیدها، اتانوییک اسید (استیک اسید) با فرمول (C2H4O2)CH3COOH است.
2- از بنزوئیک اسید که یک عضو خانوادهء کربوکسیلیک اسیدها است، در صنایع غذایی به عنوان نگهدارنده استفاده می شود. نگهدارنده ها، سرعت واکنش واکنش شیمیایی را که منجر به فساد مواد غذایی می شوند، کاهش می دهند.
فرمول مولکولی بنزوئیک اسید C7H6O2 بوده و از ساختار آن به صورت رو به رو است:
•در ساختار بنزوئیک اسید، یک حلقهء بنزنی وجود دارد؛ بنابراین این ترکیب، آروماتیک محسوب می شود.
•بنزوئیک اسید در تمشک و توت فرنگی وجود دارد.
•توجه: بنزآلدهید که در بادام وجود دارد، دارای فرمول مولکولی C7H6O است، یعنی یه اتم اکسیژن از بنزوئیک اسید کمتر داره.

ساده– آزمون کانون قلم چی 98

متوسط - آزمون کانون قلم چ 98

سخت – سراسری ریاضی خارج از کشور 94
فصل 3
بودجه بندی فصل سوم شیمی 2 در کنکور سال های اخیر
پوشاک و الیاف
با رشد جمعیت جهان و افزایش چشمگیر مصرف پوشاک، روش های سنتی تولید پوشاک ( استفاده از پشم، پوست، چرم، پنبه و ...) دیگر پاسخگوی نیازهای جامعه نبود. به همین دلیل صنعت نساجی به وجود آمد.
طبق آمارها در سال 2014 میلادی در حدود 100 میلیون تن انواع الیاف در جهان تولید و مصرف شده است.به طور کلی در حال حاضر میزان نسبی الیاف ساختگی تولید شده در جهان بیشتر از الیاف طبیعی است.

به طور کلی الیاف را می توان به دو دسته طبیعی و ساختگی تقسیم بندی کرد که به صورت زیر هستند:
1- الیاف طبیعی: به الیافی که در طبیعت یافت می شود، گفته می شود. مانند: پشم، پنبه و ...
2- الیاف ساختگی: به الیافی گفته می شود که در طبیعت جود ندارند، بلکه از واکنش بین مواد شیمیایی تولید می شوند، گفته می شود. از این الیاف نیز برای تولید پارچه، پوشاک، ظروف نچسب، یکبار مصرف و پلاستیکی، فرش، پرده و ... استفاده می شود.
الیاف درشت مولکول
به ترکیبات مولکولی که تعداد اتم های آن ها به ده ها هزار می رسد درشت مولکول ها گفته می شود. مانند سلولز، نشاسته، پروتئین موجود در پشم، ابریشم، انسولین و ..... که درشت مولکول های طبیعی هستند و پلی اتن، پلی استر، نایلون، تفلون و .... که در طبیعت یافت نمی شوند و درشت مولکول های ساختگی می باشند.
بسپارش
پلیمری شدن یا بسپارش واکنشی است که طی آن بعضی از مولکول های کوچک در شرایط مناسب به هم متصل می شوند و ایجاد مولکول هایی با زنجیر های بلند و جرم مولی زیاد می کنند و به واکنش دهنده ها در این واکنش مونومر(تک پار) و به فرآورده ها پلیمر(بسپار) گفته می شود.
نکته: هر ترکیب آلی که در ساختارهای خود دارای پیوند دوگانه کربن – کربن (c=c) باشد، می تواند در واکنش های پلیمری شدن شرکت کند. به عنوان مثال گاز اتن (CH2=CH2) را در فشار بالا گرم کنیم، جامد سفید رنگی پدید می آید که جرم مولی آن اغلب ده ها هزار گرم بر مول است و در ساختار آن هزاران اتم کربن و هیدروژن وجود دارد. به این فرآورده ها جامد پلی اتن گفته می شود.
تفلون دارای ویژگی های زیر می باشد:
1- نقطه ذوب بالایی دارد و در برابر گرما مقاوم است.
2- از نظر شیمیایی بی اثر است و با مواد شیمیایی واکنش نشان می دهد.
3- در حلال های آلی حل نمی شود و نچسب است.
انواع پلی اتن:
پلی اتن سبک: این نوع پلی اتن چگالی کمتری دارد و شفاف است. از آن ها به دلیل انعطاف پذیری بیشتر در تولید کیسه پلاستیک استفاده می شود و پلی اتن شاخه دار محسوب می شود.
پلی اتن سنگین: این نوع پلی اتن چگالی بیشتری دارد و کدر است، از آن برای تهیه ی لوله های پلاستیکی، دبه های آب یا بطری کدر شیر که سخت تر و محکم تر هستند، استفاده می شود و بدون شاخه نیز هستند.
متوسط - آزمون کانون قلم چی 98

سخت - آزمون کانون قلم چی 98
دوستان عزیز می توانید برای دسترسی به نسخه کامل خلاصه نکات به همراه پاسخ، فایل پی دی اف زیر را دانلود کنید!
فراموش نکنید اگر سوالی در رابطه با این مبحث داشتید می توانید به راحتی در کامنت ها سوال خود را برای ما بنویسید.
دوستان عزیزم؛ برای ارتباط با رتبه برترها صفحه اینستاگرام زیر رو دنبال کنید.
با آرزوی موفقیت و کامیابی

