سلام به همه دانش آموزان عزیز 🖐
در این مطلب درسنامه از صفحه 32 تا 44 فیزیک یازدهم آورده شده است.
🖊 نویسنده : امیرحسین ایمانی پور ( دانشجوی مهندسی مکانیک امیرکبیر)
✔ محتویات مطلب :
- 1️⃣ تعاریف و فرمول ها و مفاهیم بخش خازن
- 2️⃣ انیمیشن آموزشی نحوه کار کردن خازن
- 3️⃣ نمودار ها
4️⃣ فایل PDF درسنامه
برای ارتباط با رتبه برترها پیج رتبه برترها را دنبال کنید.
![]() | امیرحسین ایمانی پور - دانشجوی مهندسی مکانیک امیرکبیر |
خازن :
وسیله ایی الکتریکی است که در مدارهای الکتریکی اثر خازنی ایجاد میکند خازن ها المان هایی هستند که میتوانند مقداری الکترسیته را به صورت یک میدان الکتروستاتیک در خود ذخیره کنند مانند یک مخزن آب برای نگه داری آب پس خازن وسیله ایی الکتریکی است که میتواند مقداری بار الکتریکی و یا انرژی الکتریکی را در خود ذخیره کند و هر زمان که لازم باشد آن را در مدار تخلیه کند .
ویدیو آموزشی مربوط به نحوه کارکرد خازن را در انتهای این مطلب ببینید.
اثر خازنی :
خاصیتی است که سبب میشود مقداری انرژی الکتریکی در یک میدان الکتروستاتیک ذخیره شود و بعد از مدتی آزاد گردد
خازن مسطح ( تخت ) :
متوال ترین نوع خازن که از دو صفحه هادی که بین آنها عایق یا دی الکتریک قرار دارد تشکیل شده است صفحات هادی نسبتا بزرگ هستند و در فاصله بسیار نزدیک هم قرار دارند ( از دو رسانا که با یکدیگر اتصال الکتریکی ندارند تشکیل شده است )
دی الکتریک :
انواع مختلفی دارد و با ضریب مخصوصی که نسبت به هوا سنجیده میشود معرفی میگردد این ضریب را ضریب دی الکتریک گویند
- خازن ها به دو دسته ثابت و متغیر ( از نظر ظرفیت ) تقسیم میشوند و از نظر شکل و اندازه با یکدیگر تفاوت دارند بعضی از آن ها از روغن پر شده و بسیار حجیم اند و برخی دیگر بسیار کوچک و اندازه یک دانه عدس هستند .
نحوه پر یا شارژ شدن خازن :
وقتی یک خازن بی بار را به دو سر یک باتری وصل میکنیم الکترون ها در مدار جاری میشوند پس یکی از صفحات بار مثبت( قطب مثبت باتری وصل شده) و دیگری منفی(قطب منفی باتری وصل شده) پیدا میکند
خازن پس از ذخیره کردن مقدار معینی بار الکتریکی پر میشود یعنی به محض اینکه یک خازن خالی بدون بار را در یک مدار به مولد متصل کردیم پس از مدتی کوتاه عقربه گالوانومتر دوباره روی صفر برمیگردد یعنی دیگر دیگر جریانی از مدار عبور نمیکند که میگوییم خازن پر شده است. وقتی خازن پر شده است کل E مولد بدون افت پتانسیل به خازن میرسد
سطح زیر نموار i - t برابر بار ذخیره شده روی صفحات خازن است .

تخلیه خازن یا دشارژ :
هنگامی که خازن را به یک مصرف کننده وصل میکنیم و یا دو سر آن را توسط یک سیم به یکدیگر وصل میکنیم در این حالت برای مدت کوتاهی جریان در مدار برقرار میشود و تا زمانی که بار روی صفحات خازن وجود دارد برقرار است . پس از مدت زمانی جریان صفر میشود یعنی دیگر بار روی صفحات خازن وجود ندارد و خازن تخلیه شده است اگر خازن کاملا پر شود دیگر جریانی برقرار نمیشود و اگر کاملا تخلیه شود نیز دیگر جریانی برقرار نمیشود البته توجه کنید در حین دشارژ یا هر روشی که بار روی خازن کم شود یک جریان معکوس در مدار به وجود می آید که باعث کم شدن و یا تخلیه بار میشود که این جریان برابر است با جریانی که درهنگام پر شدن وجود داشته است .
ظرفیت خازن :
نسبت بار ذخیره شده در آن به اختلاف پتانسیل دو صفحه آن
C = q / V
فاراد:
ظرفیت خازنی است که اگر به اختلاف پتانسیل یک ولت وصل شود بار ذخیره شده در آن 1 کولن میشود .

عوامل موثر بر ظرفیت خازن :
- · نسبت عکس با فاصله بین دو صفحه
- · نسبت مستقیم با مساحت هر صفحه
- · نسبت مستقیم با جنس عایق به کار رفته
تغییرات V , q اثری بر c ندارد و c فقط متناسب با ویژگی های ساختمان خازن است .

در این رابطه 0€ ضریب گذرهی الکتریکی خلا و k ثابت دی الکتریک و برای هوا یا خلا 1 برای عایق های دیگر بزرگتر از 1 است
- اگر خازن به اختلاف پتانسیل متصل باشد ولتاژ آن صابت میباشد و با تغییر کردن عوامل داخلی ساختمان خازن بار به نسبت مستقیم تغییر کرده و ولتاژ ثابت میماند و اگر از اختلاف پتانسیل جدا کنیم بار آن ثابت میماند در این صورت با تغییر کردن عوامل داخلی ساختمان بار ثابت مانده و ولتاژ به نسبت عکس تغییر میکند
- وقتی ظرفیت خازن را تغییر میدهیم در تست ها از ما راجع به u , v, q, E پرسش میشود که در این صورت ابتدا باید ببینیم بین کدام یک ثابت و یکسان مانده است .
میدان الکتریکی بین صفحات خازن :
یکنواخت است و از رابطه زیر به دست می آید :

تاثیر دی الکتریک در ظرفیت خازن :
هنگامی که دو صفحه موازی را داخل یک مدار الکتریکی قرار دهیم پس از اتصال کلید صفحه نزدیک به صفحه مثبت مولد الکتذون هایش کم میشود و صفحه نزدیک به بار منفی زیاد میشود و میدان الکتریکی بین دو صفحه به وجود می آید با ربرروی صفحات برابر است پس این دو صفحه موازی تشکیل یک خازن میدهند
میدانیم اتم متقارن است ولی اگر در یک میدان الکتریکی قرار گیرد دچارقطبیدگی یا قطبی شدن میگردد
و اگر یک عایق یا دی الکتریک را میان صفحات خازن قرار دهیم اتم ها دچار قطبیدگی میشوند یعنی ابر الکترونی به سمت صفحه مثبت خازن متمایل میشود و دراین صورت مرکز موثر بار مثبت متمایل به صفحه منفی شده و بار مثبت روی صفحه مثبت و بار منفی روی صفحه منفی افزایش یافته و چون اختلاف پتانسیل ثابت است ظرفیت افزایش میابد .

پدیده فروشکست :
هرگاه اختلاف پتانسیل دو سر خازن افزایش یابد بار ذخیره شده در خازن افزایش میابد و مبدان قوی بین دو صفحه ایجاد میکند این میدان بسیار قوی باعث میشود دی الکتریک موقتا رسانا شود و با ایجاد یک جرقه بین دو صفحه تخلیه شود و باعث سوراخ شدن و یا تغییر ماهیت دی الکتریک شود که به آن پدیده فروشکست گویند .
- حداکثر ولتاژ بین صفحات خازن زمانی است که دی الکتریک به حداکثر قطبیدگی رسیده باشد و اگر ولتاژ خازن را بیشتر از این بکنیم فروشکست رخ میدهد و خازن میسوزد .
- در خازن بار خازن صفحه مثبت است و اگر بگوییم بار خازن q است یعنی بار روی هر صفحه همین مقدار است .
- مساحت صفحات خازن به اندازه مساحتی از صفحات است که روبرو هم قرار دارند .
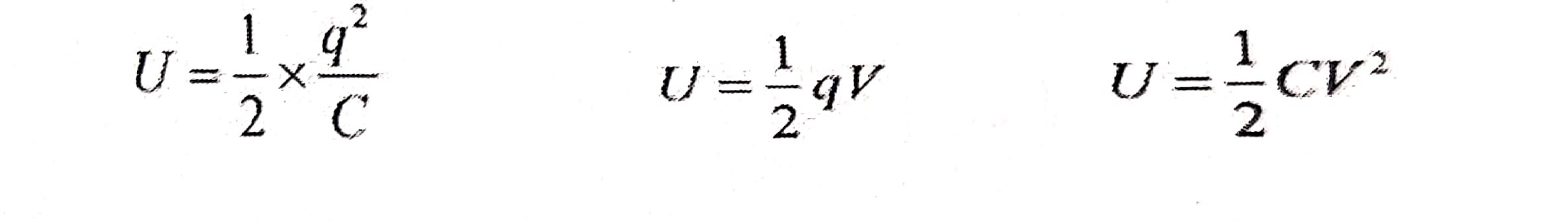
انرژی خازن پر شده :
انرژی ذخیره شده که در اثر حرکت در یک میدان الکتروستاتیک به دست می آید :


