سلام
در این مطلب میخواهیم با هم به جمع بندی نکات فصل یک شیمی یازدهم (مطابق با آزمون جامع) و خلاصه نکات که برای پاسخگویی به سوالات آزمون باید به آنها مسلط باشید، بپردازیم.
نوید آرمات، دانشجوی مهندسی عمران دانشگاه تهران
سیده محدثه حسینی، دانشجوی دکتری تخصصی پیوسته بیوتکنولوژی دانشگاه تهران
دسته بندی عنصر ها و ویژگی های هر دسته
علم شیمی را می توان مطالعه ی هدفدار، منظم و هوشمندانه رفتار عنصرها و مواد، برای یافتن روندها و الگوی رفتار فیزیکی و شیمیایی آن ها دانست.
همانطورکه می دانید بنیادی ترین ویژگی عنصرها عدد اتمی Z است و عناصر در جدول دوره ای بر اساس افزایش عدد اتمی چیده شده اند. در این جدول عنصرهایی که تعداد الکترون های بیرونی ترین لایه آن ها یکسان است، هم گروه هستند به جز He در گروه گاز های نجیب. عناصر هم دوره دارای تعداد الکترون های برابری می باشند.
با بررسی رفتار و خواص عناصر می توان عناصر جدول دوره ای را به 3 دسته تقسیم کرد:
1- فلز ها
بیشتر عناصر جدول دوره ای را تشکیل می دهند که دارای خواص زیر می باشند:
* به طور عمده در سمت چپ و مرکز جدول قرار دارند.
* اغلب دارای سطح براق و صیقلی هستند.
* اغلب جامد هایی شکل پذیر هستند.
* در واکنش با دیگر عنصر ها الکترون از دست می دهند.
* در اثر ضربه تغییر شکل می دهند اما خرد نمی شوند (قابلیت چکش خواری، شکل پذیری).
* مانند Na, Mg, Al, Sn, Pb
نکته: همه ی فلزات جدول جامد و تک اتمی هستند به جز جیوه (Hg) که تنها فلز مایع است.
2- نافلز ها:
* به طور عمده در سمت راست و بالای جدول دوره ای قرار دارند.
* در واکنش با دیگر اتم ها، الکترون به اشتراک می گذارند یا می گیرند.
* سطح آن ها در حالت جامد درخشان نبوده و کدر هستند.
* جریان برق و گرما را عبور نمی دهند، به جز کربن که رسانای الکتریسیته است.
* درحالت جامد در اثر ضربه خرد می شوند. (شکننده)
* مانندکربن C6, فسفر P15, گوگرد S16 ,کلر Cl17
3- شبه فلز ها:
* عناصری هستند که همانند مرزی بین فلز ها و نافلزها قرار دارند.
* خواص فیزیکی آن ها بیش تر به فلزها شبیه است در حالی که رفتار شیمیایی آن ها همانند نافلزهاست.
* اغلب رسانایی الکتریک کمی دارند (نیمه رسانا).
* درواکنش با دیگر اتم ها الکترون به اشتراک می گذارند.
* معمولا شکننده هستند و بر اثر ضربه خرد میشوند. Si 14, Ge32


تمام عنصر های دسته ی S به جز (Hو He)، تمام عنصر های دسته ی d, f و برخی از عناصر دسته p فلزند.در بین عنصر های دسته p،فلز، نافلز و شبه فلز وجود دارد.

تست :

خصلت فلزی و نافلزی
خصلت فلزی به معنای ویژگی های فیزیکی و شیمیایی مربوط به فلز می باشد که دریک گروه از بالا به پایین، افزایش می یابد.
توجه: هر چه یک فلز، تمایل بیش تری به از دست دادن الکترون های ظرفیتی خود داشته باشد،واکنش پذیری و خصلت فلزی آن بیش تر است.
به عنوان مثال: Fr> Cs > Rb > K > Na > Li : خصلت فلزی
خصلت نافلزی به معنای ویژگی های فیزیکی و شیمیایی مرتبط به نافلزها می باشد که در یک گروه از بالا به پایین، کاهش می یابد.
توجه:هر چه یک نافلز، تمایل بیش تری برای گرفتن الکترون داشته باشد، واکنش پذیری و خصلت نافلزی بیش تری دارد.
به عنوان مثال: F> Cl > Br > I > At خصلت نافلزی
نکته: خصلت فلزی در یک دوره از چپ به راست، کاهشو خصلت نافلزی در یک دوره از چپ به راست، افزایش می یابد.
نکته: به طور کلی: در بین عناصر جدول دوره ای،فرانسیم فعال ترین فلز و فلوئور فعال ترین نافلز می باشند.
توجه: جدول پیشنهادی ژانت مطابق با مدل کوانتومی است و در دو ردیف جدید این جدول زیرلایه (g) به عنوان زیر لایه ی پنجم پس از s, p , d , f پر می شود. در ضمن زیرلایه ی g با (I=4) حداکثر گنجایش 18 الکترون را دارد.

شعاع اتمی
به طور کلی هر چه شعاع یک اتم بزرگتر باشد، اندازه آن اتم نیز، بزرگتر است.
به طورکلی، شعاع اتمی عنصرهای جدول دوره ای در یک گروه از بالا به پایین افزایش می یابد؛ زیرا تعداد لایه های الکترونی بیش تر می شود.
به طور کلی در یک دوره شعاع اتمی از چپ به راست کاهش می یابد؛ زیرا در یک دوره تعداد لایه های الکترونی ثابت می ماند؛ در حالی که تعداد پروتون های هسته بر الکترون ها بیش تر شده و شعاع اتم کاهش می یابد.
در بین تمام عناصر جدول دوره ای، عنصر Fr دارای بیش ترین و عنصر H دارای کم ترین شعاع اتمی است.
توجه: از آن جا که عنصر Fr بسیار کمیاب است، می توان شعاع Cs رابه عنوان بیش ترین شعاع اتمی در نظر گرفت.
رابطه خصلت فلزی و نافلزی با شعاع اتم ها
هر چه شعاع اتم بزرگتر اتم آسان تر الکترون از دست می دهد و خصلت فلزی افزایش می یابد.
خصلت فلزی عناصر گروه اول از عناصر هم دوره گروه دوم بیش تر است که این موضوع به دلیل کم تر بودن تعداد الکترون ظرفیت عناصر گروه اول (1 الکترون) نسبت به تعداد الکترون های لایه ظرفیت گروه دوم (2 الکترون) می باشد.
به طور کلی هر چه شعاع اتمی کوچک تر می شود، اتم آسان تر الکترون می گیرد، بنابراین دلیل اینکه خصلت نافلزی در یک گروه از بالا به پایین کاهش می یابد، افزایش شعاع اتم می باشد.
فلزات واسطه
دسته ای از عناصر جدول دوره ای می باشند که در مرکز جدول دوره ای قرار دارند و زیر لایه d در آن ها در حال پر شدن است و دارای خصوصیات زیر هستند:
1- همگی فلز هستند و دارای رسانایی الکتریکی و گرمایی می باشند.
2- اغلب این فلز ها در طبیعت به شکل ترکیب های یونی مانند اکسیدها، کربنات ها و .... یافت می شوند.
3- یون های فلزات واسطه و ترکیبات یونی دارای این یون ها اغلب رنگی هستند. به عنوان مثال یون مس 󠄤∏، آبی رنگ است.
4- مهم ترین فلزات واسطه مربوط به دوره ی چهارم جدول دوره ای هستند که عدد اتمی آن ها 21 تا 30 می باشد.


طلا 79Au فلزی ارزشمند و گران از دسته ی d جدول دوره ای است که علاوه بر علاوه بر ویژگی های مشترک فلزها، ویژگی های منحصر به فردی دارد.

برخی از فلزهای واسطه که بیش ازیک نوع کاتیون دارند.
تست:


مقایسه ی واکنش پذیری عناصر
واکنش پذیری هر عنصر به معنای تمایل اتم آن به انجام واکنش شیمیایی است. هر چه واکنش پذیری اتم های عنصری بیشتر باشد، در شرایط یکسان تمایل آن برای انجام واکنش و تبدیل شدن به ترکیب بیشتراست.
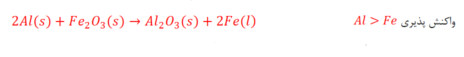
* درهر واکنش شیمیایی که به طور طبیعی انجام می شود، واکنش پذیری فراورده ها از واکنش دهنده ها کمتر است؛ پس اگر یک واکنش به ما بدهند که در دو طرفش به عنصر آزاد وجود داشته باشد و بگن که این واکنش به طور طبیعی انجام میشه، ما خیلی سریع می تونیم واکنش پذیری دو عنصرآزاد در دو طرف معادله را با هم مقایسه کنیم:

در معادله کلی بالا، واکنش پذیری Cاز Bبیشتر بوده است؛ به همین دلیل میل بیشتری به تشکیل ترکیب داشته؛ از این رو با انجام واکنش، جایش را با B عوض می کند. واکنش زیر به طور طبیعی انجام می شود.

واکنش پذیری فراورده (Fe)از واکنش دهنده (Al) کم تراست.
واکنش ترمیت ازآهن مذاب تولید شده برای جوش دادن خطوط راه آهن استفاده می شود.
هرچه واکنش پذیری فلز بیشتر باشد، در هوای مرطوب سریع تر واکنش می دهد.
تامین شرایط نگه داری برای سدیم و پتاسیم دشوارتر از بقیه ی فلز هاست چون تمایل به ایجاد ترکیب دارند.
به طور کلی در هر واکنش شیمیایی که به طور طبیعی انجام می شود، واکنش پذیری فرآورده ها از واکنش دهنده ها کم تر است.


تست :

آلکان ها
آلکان ها دسته ای از هیدروکربن ها هستند ک در آن ها هر اتم کربن با چهار پیوند یگانه به اتم های اطراف متصل شده است. فرمول عمومی آنها به صورت C(n)H(2n+2) می باشد و جرم مولی آن ها از رابطه 14n+2 به دست می آید.
آلکان ها به دلیل داشتن پیوند های یگانه، تمایلی به انجام واکنش ندارند و سیر شده هستند و گشتاور دو قطبی آن ها حدود صفر است.
آلکان ها هیدورکربن هایی هستند که به دلیل داشتن پیوند های یگانه، تمایلی به انجام واکنش ندارند و سیر شده می باشند. به همین دلیل میزان سمی بودن آن ها کمتر شده و استنشاق آن ها بر شش ها و بدن تاثیر چندانی ندارد و فقط سبب کاهش مقدار اکسیژن در هوای دم می شوند. از این رو هیچ گاه برای برداشتن بنزین از مکیدن شلنگ استفاده نکنید؛ چون بخار های بنزین وارد شش ها شده و از انتقال گاز های تنفسی در شش ها جلوگیری می کند و نفس کشیدن دشوار می شود.
تجربه نشان می دهد که گشتاوردوقطبی آلکان ها حدود صفر است. بنابراین ناقطبی بوده و در آب نامحلول اند.
این ویژگی باعث می شود از آن ها برای حفاظت از فلزها استفاده شود. به این ترتیب که فلزها را در آلکان های مایع قرار می دهند و یا سطح فلزها را با آلکان ها، اندود می کنند تا از خوردگی فلز جلوگیری شود.
نقطه جوش: به طور کلی با افزایش تعداد اتم های کربن و افزایش جرم مولی آن ها نیروی بین مولکولی که از نوع وان دروالسی است، قوی تر شده و نقطه جوش افزایش می یابد.
فرار بودن: به طور کلی هر چه نقطه جوش پایین تر باشد میزان فرار بودن آلکان ها نیز بیشتر است. بنابراین هر چه تعداد اتم های کربن کمتر باشد(جرم مولی کمتر)، فرار بودن آلکان بیشتراست.
گران روی: به طور کلی هر چه تعداد اتم های کربن در آلکان ها بیشتر باشد، گران روی آلکان نیز بیشتراست.

آلکان ها با توجه به نحوه قرار گرفتن اتم های کربن موجود در آن ها به دو دسته زیر تقسیم می شوند:
1- آلکان ها راست زنجیر: در این نوع آلکان ها، هر اتم کربن به یک یا دو اتم کربن دیگر متصل شده است.
2- آلکان های شاخه دار: در این آلکان ها، برخی کربن ها به سه یا چهار اتم کربن دیگر متصل اند.
آلکیل ها: اگر یک اتم H از فرمول آلکان ها کم کنیم گروهی جدیدی به نام آلکیل ها با فرمول CnH2n+1 به دست می آید. مانند متیل(CH3) و اتیل (C2H5)

قواعد نام گذاری آلکان های راست زنجیر:
1- زنجیری که بیش ترین تعداد کربن پشت سر هم را دارد به عنوان زنجیر اصلی انتخاب می کنیم.
2- اگر در مورد یک ترکیب، بتوان دو زنجیر اصلی با تعداد کربن برابر انتخاب کرد، زنجیری را به عنوان زنجیر اصلی انتخاب کنید که تعداد شاخه های فرعی آن بیشتر است.
3- زنجیر اصلی را از سمتی نام گذاری میکنیم که زودتر به شاخه فرعی برسیم.
4- اگر فاصله نخستین شاخه های فرعی در دو سر زنجیر اصلی یکسان باشد، شماره گذاری را از طرفی شروع می کنیم که زودتر به دومین شاخه فرعی برسیم.
5- اگر روی شاخه اصلی چند شاخه فرعی مشابه باشد. ابتدا شماره کربن های دارای شاخه، سپس تعداد شاخه های فرعی را با اعداد یونانی(دی، تری، تترا، پنتا ...) بیان و در آخر نام شاخه فرعی را می نویسیم.
6- در نام گذاری ابتدا نام شاخه فرعی را می آوریم که اولین حرف آن در زبان انگلیسی مقدم تر باشد. به عنوان مثال اتیل زودتر از متیل می آید.
7- اگر شاخه فرعی به جای گروه های آلکیل، هالوژن باشد، نام آن با پسوند (و) می آید؛ به عنوان مثال: Cl کلرو یا Br برمو
8- در انتخاب زنجیر اصلی دقت کنیم که گروه اتیل نمی تواند در جایگاه دوم قرار بگیرد.
آلکن ها
این هیدروکربن ها در ساختار خود دارای پیوند دوگانه کربن – کربن هستند. فرمول عمومی آن ها به صورت C(n) H(2n) می باشد و جرم مولی آن ها از رابطه 14n به دست می آید. ساده ترین آلکن دارای ( 2=n) می باشد. پس دارای فرمول C(2)H(4) و نام اتن است.
این ماده در بیش تر گیاهان وجود دارد. موز و گوجه فرنگی رسیده گاز اتن آزاد می کنند که موجب سریع تر رسیدن میوه های نارس می شود. به همین دلیل در کشاورزی از گاز اتن به عنوان «عمل آورنده» استفاده می شود.
نام گذاری آلکن های راست زنجیر
در آلکن های راست زنجیر دارای 4 اتم کربن یا بیش تر، پیوند دوگانه می تواند در موقعیت های متفاوتی قرار گیرد. به همین دلیل آلکن مورد نظر از سمت نزدیک تر به پیوند دوگانه شماره گذاری می شود و محل پیوند دوگانه با شماره نخستین کربنی که به پیوند دوگانه متصل است مشخص می شود. سپس قبل از آلکن مورد نظر شماره کربن دارای پیوند دوگانه آورده می شود.
آلکن ها به دلیل داشتن پیوند دوگانه سیر نشده هستند چون هر یک از دو اتم کربن مربوط به پیوند دوگانه به 3 اتم متصل هستند. آلکن ها از آلکان های هم کربن خود، دو اتم هیدروژن کم تر دارند. وجود پیوند دوگانه باعث می شود که رفتار آلکن ها با آلکان ها تفاوت زیادی داشته باشد. به گونه ای که آلکن ها برخلاف آلکان ها واکنش پذیری بیش تری دارند و در واکنش های زیادی شرکت دارند که در صفحه ی بعد اشاره شده است.

نام و ساختار چند آلکان راست زنجیر
الف) واکنش آلکن ها با آب: در این واکنش الکل تولید می شود. به عنوان مثال با وارد کردن گاز اتن در مخلوط آب و اسید در شرایط مناسب، اتانول (الکل دو کربنه) در مقیاس صنعتی تولید می شود.

توجه: در این واکنش پیوند کربن – کربن در مولکول اتن شکسته شده و به یکی از کربن ها، اتم H و به دیگری، گروه OH متصل است. در واقع مولکول آب به اتم های کربن اضافه شده و فرآورده سیر شده ای تولید می کند.
نکته: اتانول الکلی بی رنگ و فرار است که به هر نسبتی در آب حل می شود. یکی از مهم ترین حلال های صنعتی است که در تهیه مواد دارویی، آرایشی و بهداشتی به کار می رود. از اتانول در بیمارستان ها به عنوان ضد عفونی کننده استفاده می شود.
ب) واکنش آلکن ها با برم مایع: در این واکنش، پیوند دوگانه میان کربن ها شکسته و دو پیوند جدید بین اتم های کربن و اتم های کربن و اتم های Br (برم) ایجاد می شود. به عنوان مثال بر اثر واکنش برم مایع با گاز اتن، ترکیب سیر شده 2،1- دی برومو اتان به دست می آید.

نکته: در این واکنش، رنگ قرمز برم از بین می رود به همین دلیل از این واکنش ها برای شناسایی آلکن ها و اثبات وجود پیوند دوگانه (C = C) استفاده می شود.
نکته: از واکنش تکه ای گوشت چرب با بخار برم، ظرف دارای گاز برم بی رنگ می شود که این امر نشان دهنده سیر نشده بودن چربی است.
پ) پلیمر شدن آلکان ها: این واکنش ها در فصل سوم مورد بررسی قرار می گیرند که برای تولید انواع لاستیک ها، پلاستیک ها و الیاف به کار می رود.
ت) واکنش آلکن با گاز هیدروژن: در این واکنش آلکن ها با گاز هیدروژن(H_2) در حضور کاتالیزگر نیکل (Ni) واکنش داده و به آلکان تبدیل می شود. مانند:

آلکین ها
هیدروکربن های سیر نشده ای هستند که در ساختار خود یک پیوند سه گانه کربن-کربن(C≡C) دارند. فرمول عمومی آن ها به صورت C(n) H(2n-2) می باشد. که در آن ها ...و n=1,2,3 است. جرم مولی آن ها از رابطه 14n-2 به دست می آید.
ساده ترین آن ها اتین (C2H2) است و برای نام گذاری سایر آن هامانند آلکن ها عمل می شود.بااین تفاوت که انتهای نام زنجیر اصلی از پسوند «ین» به جای « ِ ن» استفاده می شود.
آلکین ها از آلکان های هم کربن، 4 اتم هیدروژن کم تر و از آلکن های هم کربن، 2 اتم هیدروژن کم تر دارند. پس سیر نشده محسوب می شوند. البته واکنش پذیری آن ها از آلکن ها بیش تر است، چون سیر نشده تر از آلکن ها هستند.
آلکان < آلکن < آلکین :واکنش پذیری
هیدرو کربن های حلقوی
ترکیب های آلی بسیاری شناخته شده اند که در آن ها از اتصال 3 کربن، ساختاری حلقوی به وجود می آید.
هیدروکربن های حلقوی می توانند سیر شده یا سیر نشده باشند. به عنوان مثال سیکلو آلکان ها، سیرشده و ترکیبات آروماتیک سیر نشده می باشند.
سیکلو آلکان ها: هیدروکربن های حلقوی سیر شده ای هستند که فرمول عمومی آن ها C(n) H(2n) می باشد. در آن ها ... و 4 و 3= n است.

هیدروکربن های آروماتیک: هیدروکربن های حلقوی سیر نشده ای هستند که بنزن (C6H6) سرگروه آن ها می باشد و دارای ساختار زیر است.

نفتالن: یکی دیگر از ترکیبات آروماتیک است که دارای فرمول مولکولی (C10H8) می باشد. در این ترکیب پنج پیوند دوگانه یکی در میان و دو حلقه شش ضلعی وجود دارد.

تست :

دوستان عزیز می توانید برای دسترسی به نسخه کامل خلاصه نکات به همراه پاسخ فایل پی دی اف زیر را دانلود کنید!
فراموش نکنید اگر سوالی در رابطه با این مبحث داشتید می توانید به راحتی در کامنت ها سوال خود را برای ما بنویسید.
دوستان عزیزم؛ برای ارتباط با رتبه برترها صفحه اینستاگرام زیر رو دنبال کنید.
با آرزوی موفقیت و کامیابی
