سلام
دراین مطلب تلاش کرده ایم تست های مهم کنکورهای سراسری سالهای مختلف در خصوص فصل دما و گرما را گرد هم بیاوریم.
سعی کنید ابتدا خودتان تست ها را حل و بعد به پاسخ مراجعه کنید.
حتما اگر سوالی داشتید زیر این مطلب کامنت بگذارید.
سوال اول:
در شکل رو به رو، ظرف A به حجم 2 لیتر حاوی گاز اکسیژن با دمای 47 درجه ی سانتیگراد و فشار 4 اتمسفر است و ظرف B به حجم 5 لیتر، کاملا خالی است. اگر شیر رابط را باز کنیم و دمای گاز در ظرف ها به 7 درجه ی سیلسیوس برسد، فشار گاز چند اتمسفر می شود؟
1) 0.7
2) 1.25
3) 1
4) 2

پاسخ: گزینه ی 3

سوال دوم:
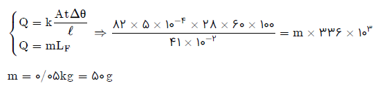
در شکل زیر، میله ی فنری عایق بندی شده ای به طول 41 سانتی متر و سطح مقطع 5 سانتی متر مربع بین دو چشمه ی با دمای ثابت قرار دارد. اگر رسانندگی گرمایی میله در SI برابر با 87 باشد، گرمایی که در مدت 28 دقیقه منتقل می شود، چند گرم یخ صفر درجه ی سیلسیوس را به آب صفر درجه ی سیلسیوس تبدیل می کند؟ Lf=336
1) 50
2) 100
3) 150
4) 200

پاسخ: گزینه ی 1

سوال سوم:
مطابق شکل، زیر پیستون بدون اصطکاک، گاز کاملی با دمای 57 درجه سانتیگراد محبوس است. دمای گاز را به تدریج به 27 درجه ی سانتیگراد می رسانیم. در این صورت پیستون چند سانتی متر جابه جا می شود؟
1) 0.5
2) 2
3) 2.5
4) 5

پاسخ: گزینه ی 2

سوال چهارم:
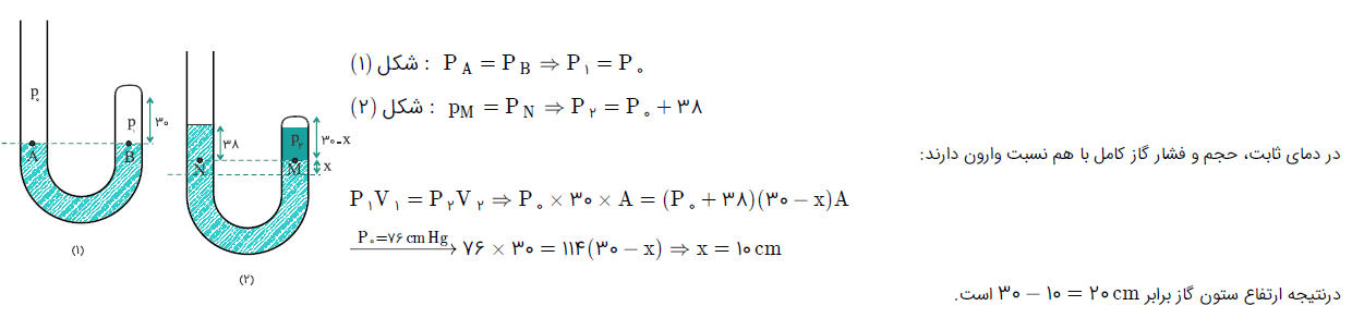
در شکل زیر ابتدا ارتفاع جیوه در دو طرف لوله یکسان است و مقداری گاز کامل در طرف راست لوله محبوس است. اگر جیوه به شاخه ی سمت چپ افزوده شود به طوری که اختلاف جیوه د دو طرف لوله به 38 سانتی متر برسد، ارتفاع ستون گاز چند سانتی متر می شود؟ (فشار هوا 76 سانتی متر جیوه است و دما ثابت فرض شود)
1) 5
2) 10
3) 15
4) 20

پاسخ: گزینه ی 4

سوال پنجم:
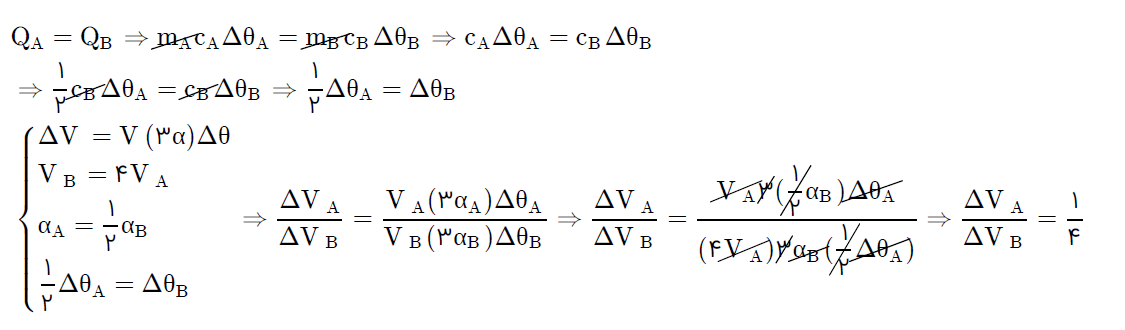
به دو کره فلزی توپر A و B که جرم مساوی دارند و حجم کره ی B، 4 برابر حجم کره ی A است، گرمای مساوی می دهیم. اگر گرمای ویژه ی A نصف گرمای ویژه ی B و ضریب انبساط خطی A نصف ضریب انبساط خطی B باشد، تغییر حجم کره ی A چند برابر تغییر حجم کره ی B است؟
1) 4
2) 2
3) 0.5
4) 0.25
پاسخ: گزینه ی 4

سوال ششم:
در ظرفی که عایق گرما است، یک قطعه یخ صفر درجه ی سیلسیوس وجود دارد. اگر 800 گرم آب50 درجه ی سیلسیوس در ظرف بریزیم، پس از برقراری تعادل گرمایی، 100 گرم یخ در ظرف باقی می ماند. جرم اولیه ی یخ چند گرم بوده است؟ (فقط بین آب و یخ تبادل گرما صورت می گیرد. Cآب= 4200 و j/Kg)
1) 300
2) 400
3) 500
4) 600
پاسخ: گزینه ی 4

دوستان عزیزم ما همچنین تصمیم گرفتیم برای اینکه بتونیم ارتباطمون رو با هم بیشتر کنیم و قدم به قدم کنارتون باشیم، صفحه ی اینستاگرام متا رو بسازیم ؛
پس می تونید با دنبال کردن این صفحه با ما در ارتباط باشید.
موفق باشید
محسن پور-دانشجوی مهندسی شیمی امیرکبیر
